LEMON Manuals: Even more car manuals for everyone: 1960-2025
Home >> Hyundai >> 2003 >> Accent Base >> Repair and Diagnosis >> External Pages >> Different variant/trim >> Section 1 (Automatic Transaxle System) >> Automatic Transaxle System >> Troubleshooting (A/T) >> Notes
April 5, 2026: LEMON Manuals is launched! Read the announcement.

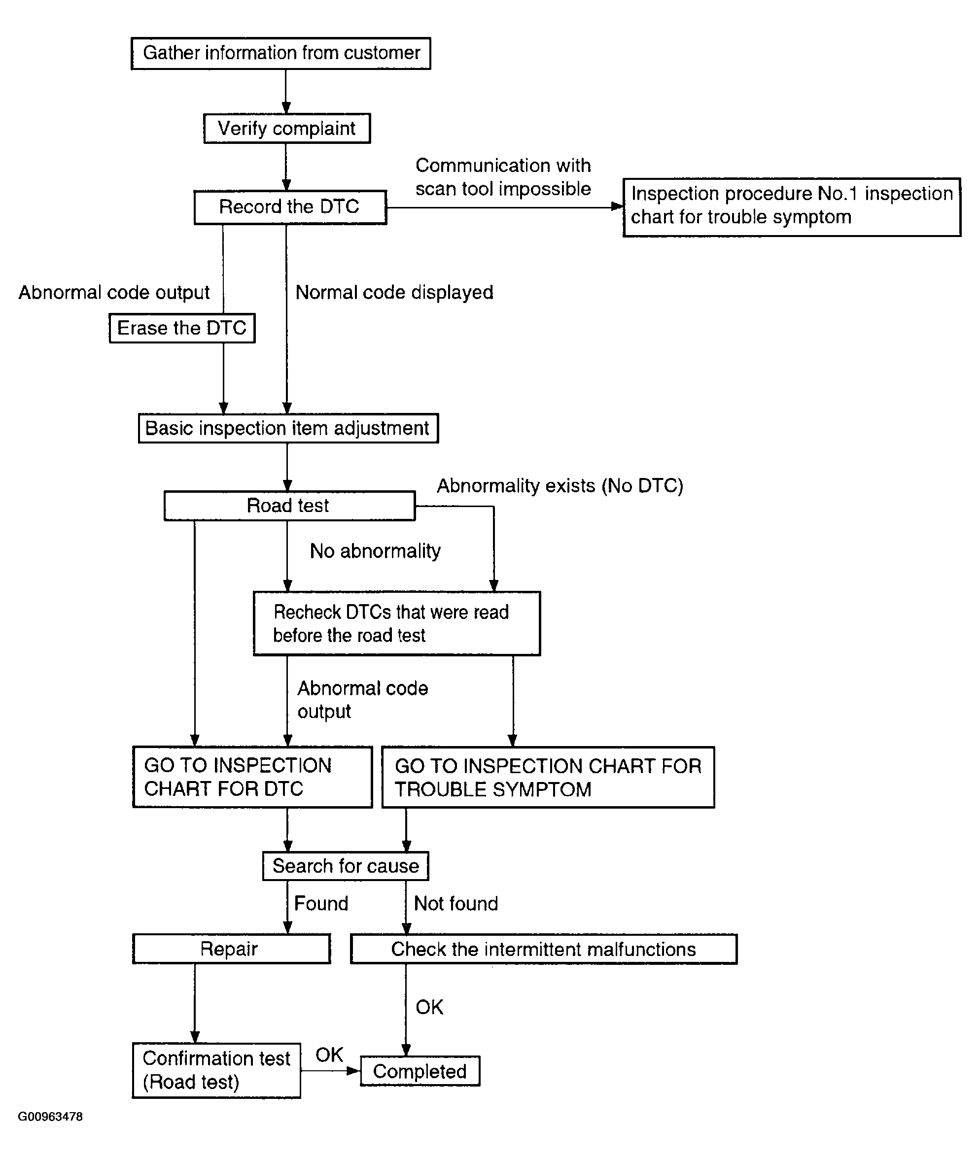
Troubleshooting (A/T): Notes

WARNING: This page is about a different variant/trim than selected.
Fig 1: Troubleshooting Flow Chart
G00963478Courtesy of HYUNDAI MOTOR CO.