LEMON Manuals: Even more car manuals for everyone: 1960-2025
Home >> Hyundai >> 2004 >> Accent Base >> Repair and Diagnosis >> External Pages >> Different variant/trim >> Section 1 (Automatic Transaxle System) >> Inspection Of Electronic Control System Components >> Notes
April 5, 2026: LEMON Manuals is launched! Read the announcement.

Inspection Of Electronic Control System Components: Notes

WARNING: This page is about a different variant/trim than selected.
Fig 1: Inspecting Electronic Control System Components (1 Of 7)
G00336103Courtesy of HYUNDAI MOTOR CO.
Fig 2: Inspecting Electronic Control System Components (2 Of 7)
G00336104Courtesy of HYUNDAI MOTOR CO.
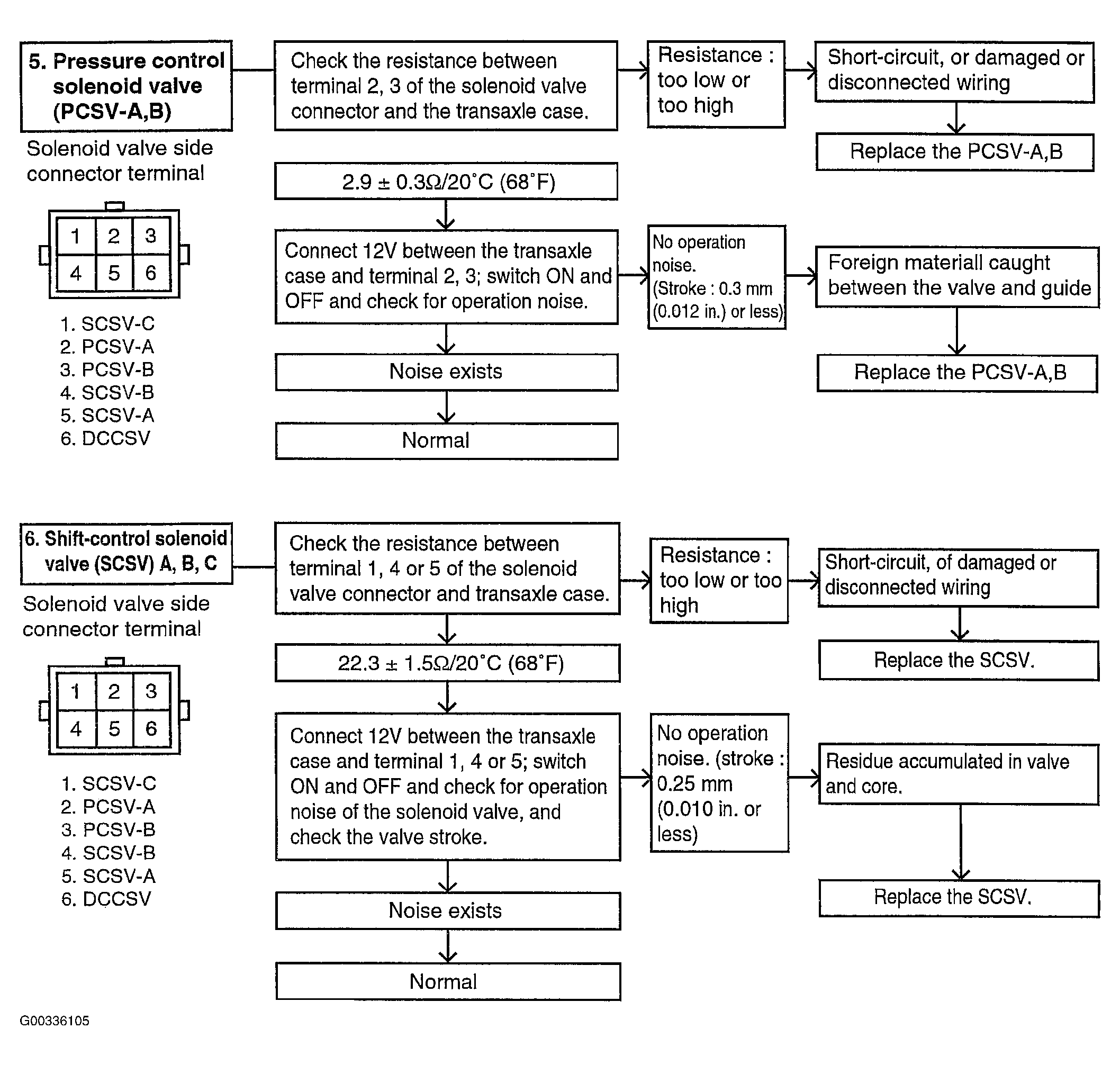
Fig 3: Inspecting Electronic Control System Components (3 Of 7)
G00336105Courtesy of HYUNDAI MOTOR CO.
Fig 4: Inspecting Electronic Control System Components (4 Of 7)
G00336106Courtesy of HYUNDAI MOTOR CO.
Fig 5: Inspecting Electronic Control System Components (5 Of 7)
G00336107Courtesy of HYUNDAI MOTOR CO.
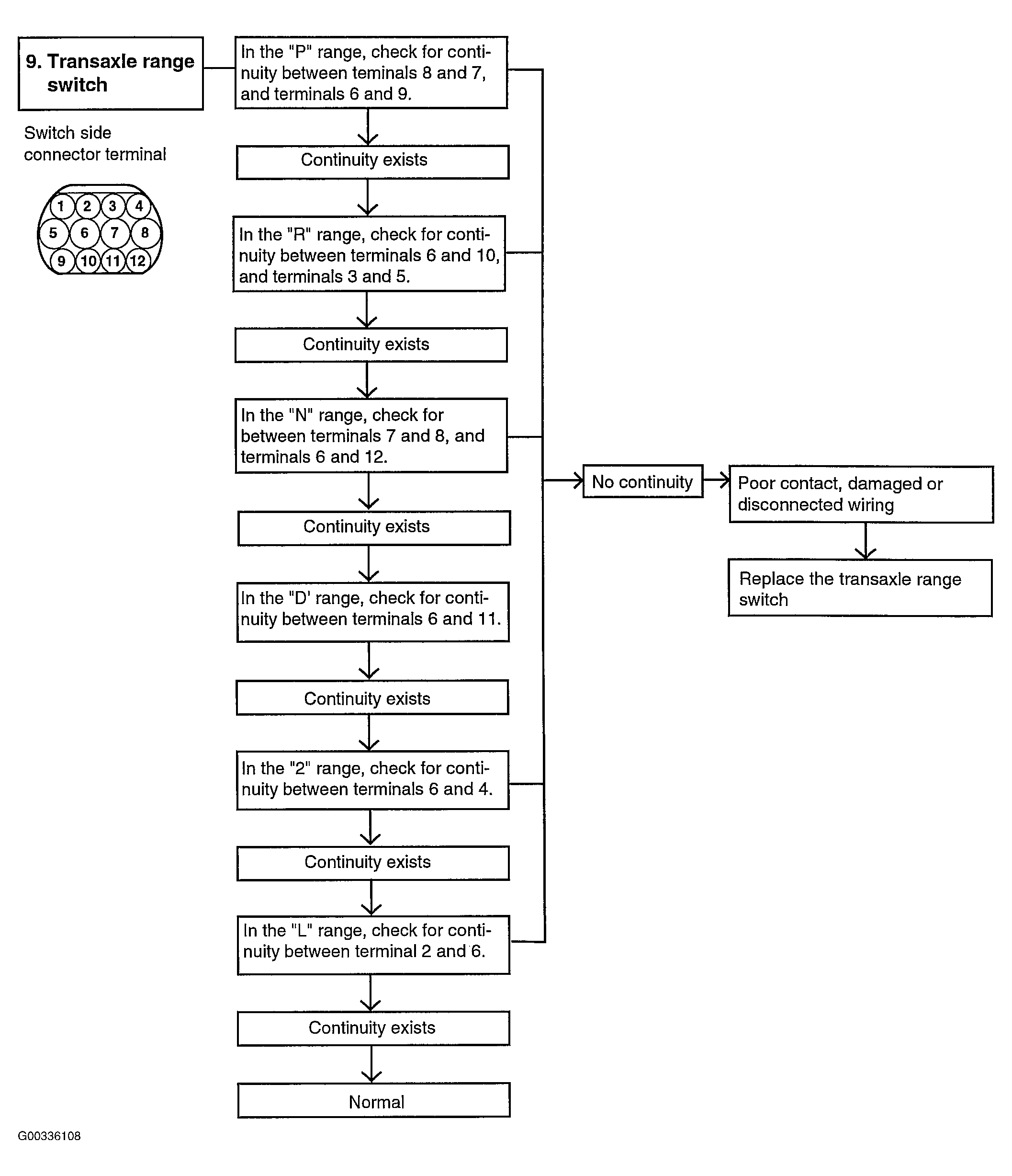
Fig 6: Inspecting Electronic Control System Components (6 Of 7)
G00336108Courtesy of HYUNDAI MOTOR CO.
Fig 7: Inspecting Electronic Control System Components (7 Of 7)
G00336109Courtesy of HYUNDAI MOTOR CO.