LEMON Manuals: Even more car manuals for everyone: 1960-2025
Home >> Hyundai >> 2004 >> Tiburon Base, Standard >> Repair and Diagnosis >> External Pages >> Different variant/trim >> Section 5 (Automatic Transaxle System) >> Automatic Transaxle System >> Inspection Process For Diagnostic Trouble Codes >> P0715: Input Shaft Speed Sensor System (Pulse Generator "A")
April 5, 2026: LEMON Manuals is launched! Read the announcement.

P0715: Input Shaft Speed Sensor System (Pulse Generator "A")

WARNING: This page is about a different variant/trim than selected.
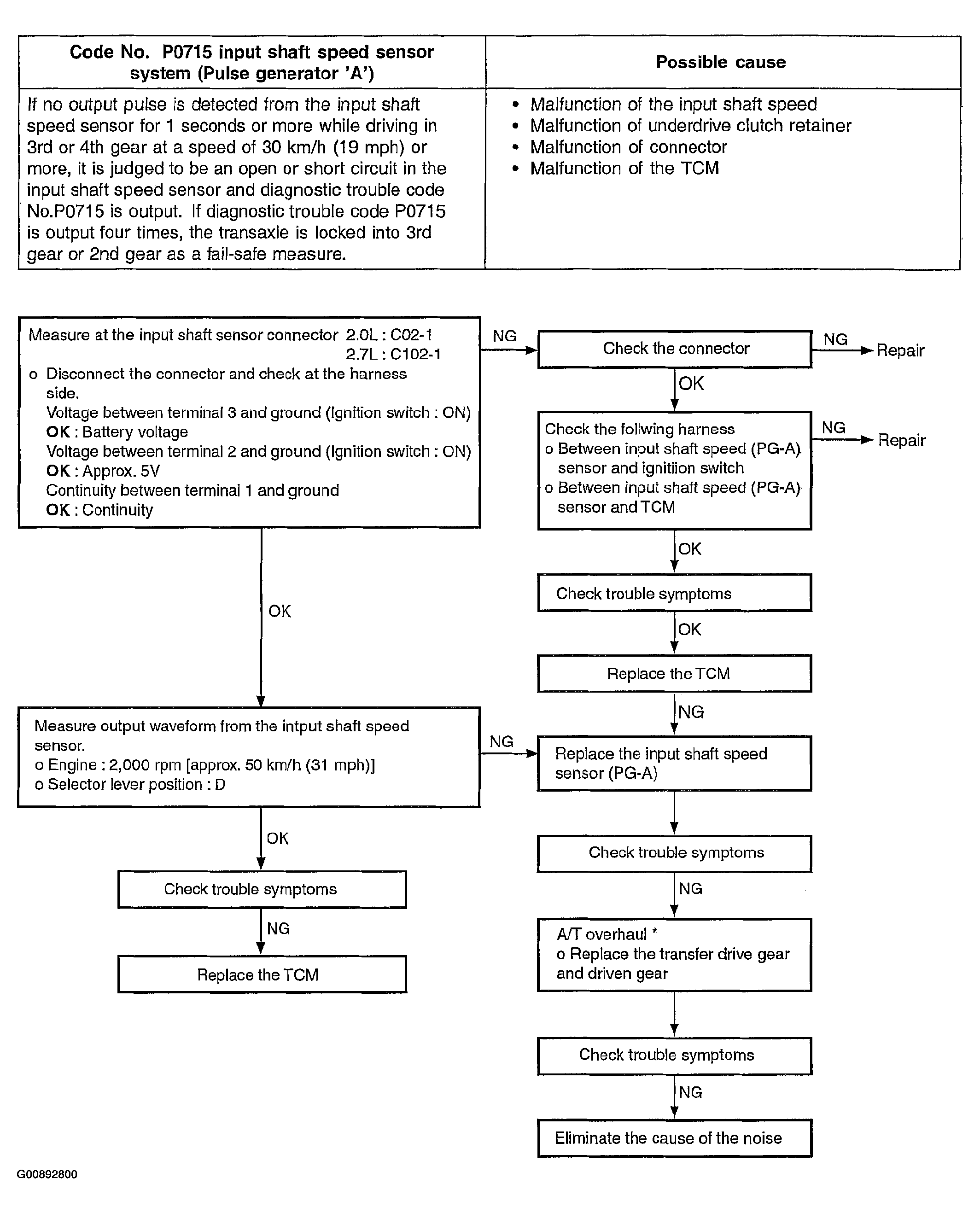
Fig 1: P0715: Input Shaft Speed Sensor System (Pulse Generator "A" - 1 Of 2)
G00892800Courtesy of HYUNDAI MOTOR CO.
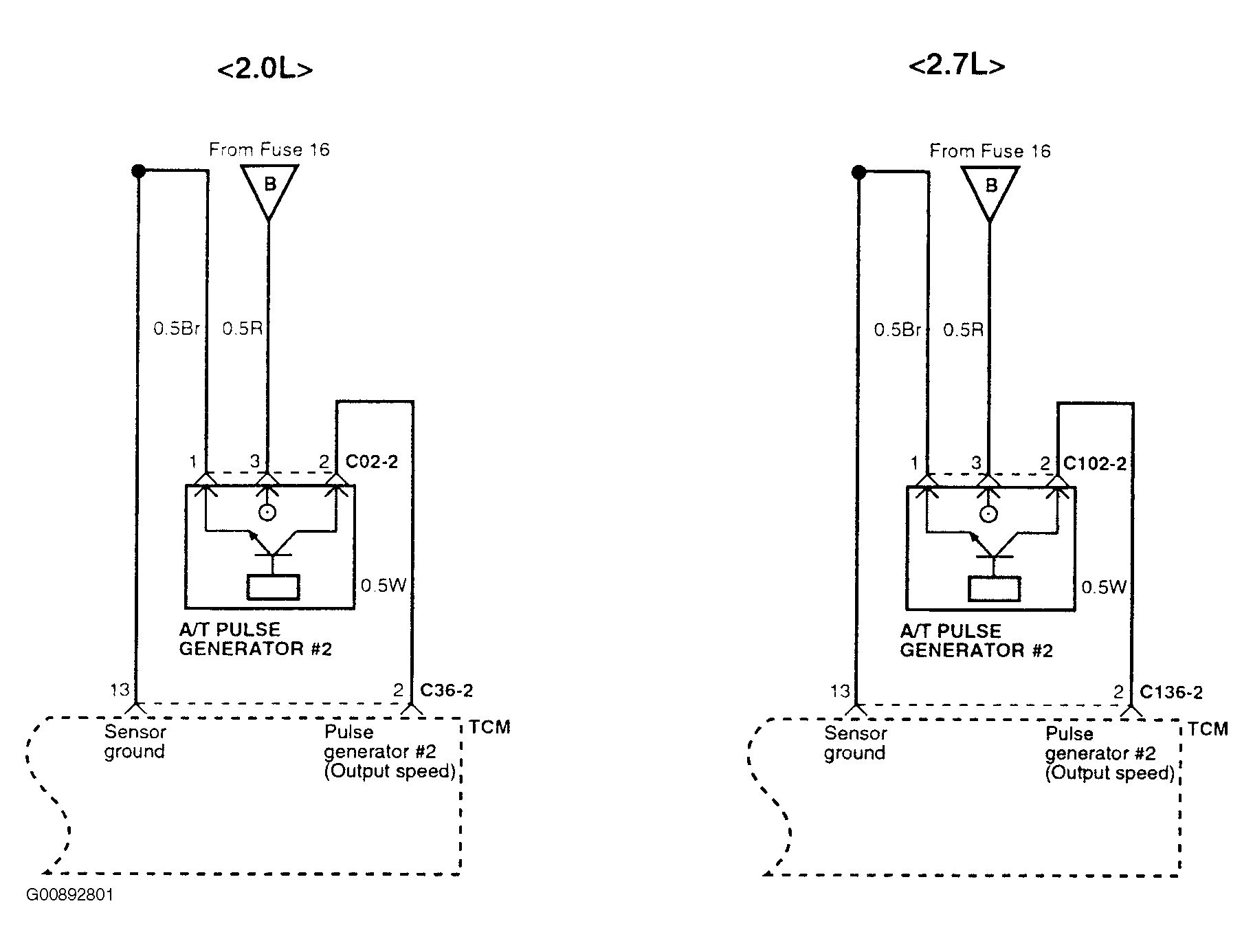
Fig 2: P0715: Input Shaft Speed Sensor System (Pulse Generator "A" - 2 Of 2)
G00892801Courtesy of HYUNDAI MOTOR CO.