LEMON Manuals: Even more car manuals for everyone: 1960-2025
Home >> Hyundai >> 2004 >> Tiburon Base, Standard >> Repair and Diagnosis >> External Pages >> Different variant/trim >> Section 5 (Automatic Transaxle System) >> Automatic Transaxle System >> Inspection Process For Diagnostic Trouble Codes >> P0720: Output Shaft Sensor System (Pulse Generator "B")
April 5, 2026: LEMON Manuals is launched! Read the announcement.

P0720: Output Shaft Sensor System (Pulse Generator "B")

WARNING: This page is about a different variant/trim than selected.
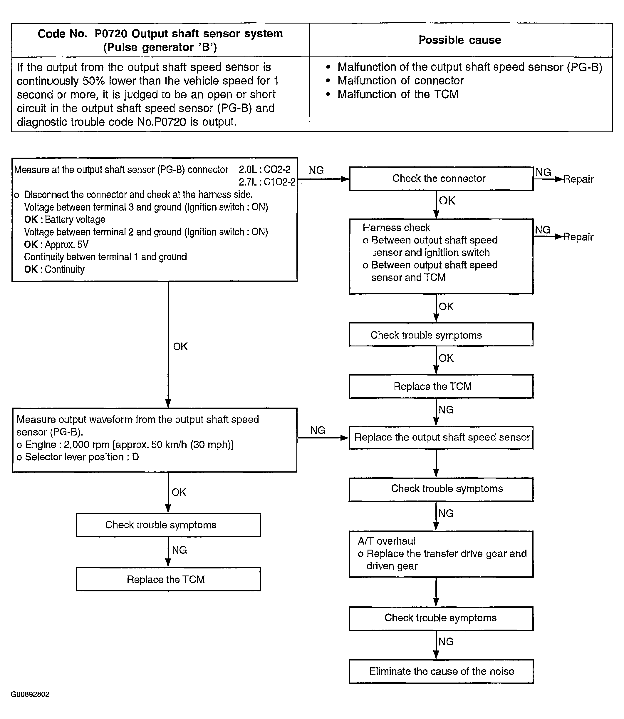
Fig 1: P0720: Output Shaft Sensor System (Pulse Generator "B" - 1 Of 2)
G00892802Courtesy of HYUNDAI MOTOR CO.
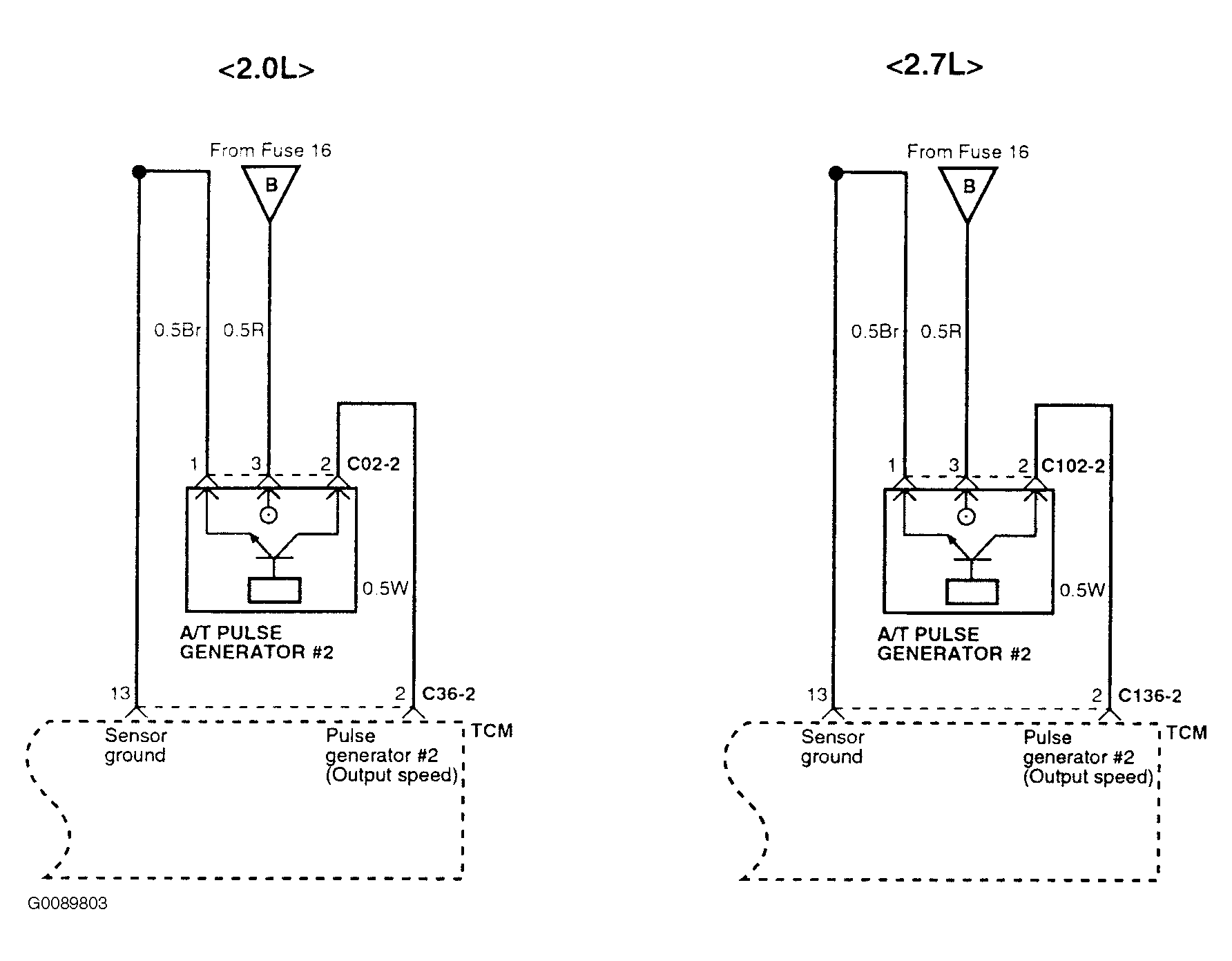
Fig 2: P0720: Output Shaft Sensor System (Pulse Generator "B" - 2 Of 2)
G00892803Courtesy of HYUNDAI MOTOR CO.