LEMON Manuals: Even more car manuals for everyone: 1960-2025
Home >> Hyundai >> 2007 >> Azera V6-3.8L >> Repair and Diagnosis >> Technical Service Bulletins >> All Technical Service Bulletins >> Antitheft - Key Cutting/Immobilizer Programming >> Programming Sequence Flowchart
April 5, 2026: LEMON Manuals is launched! Read the announcement.

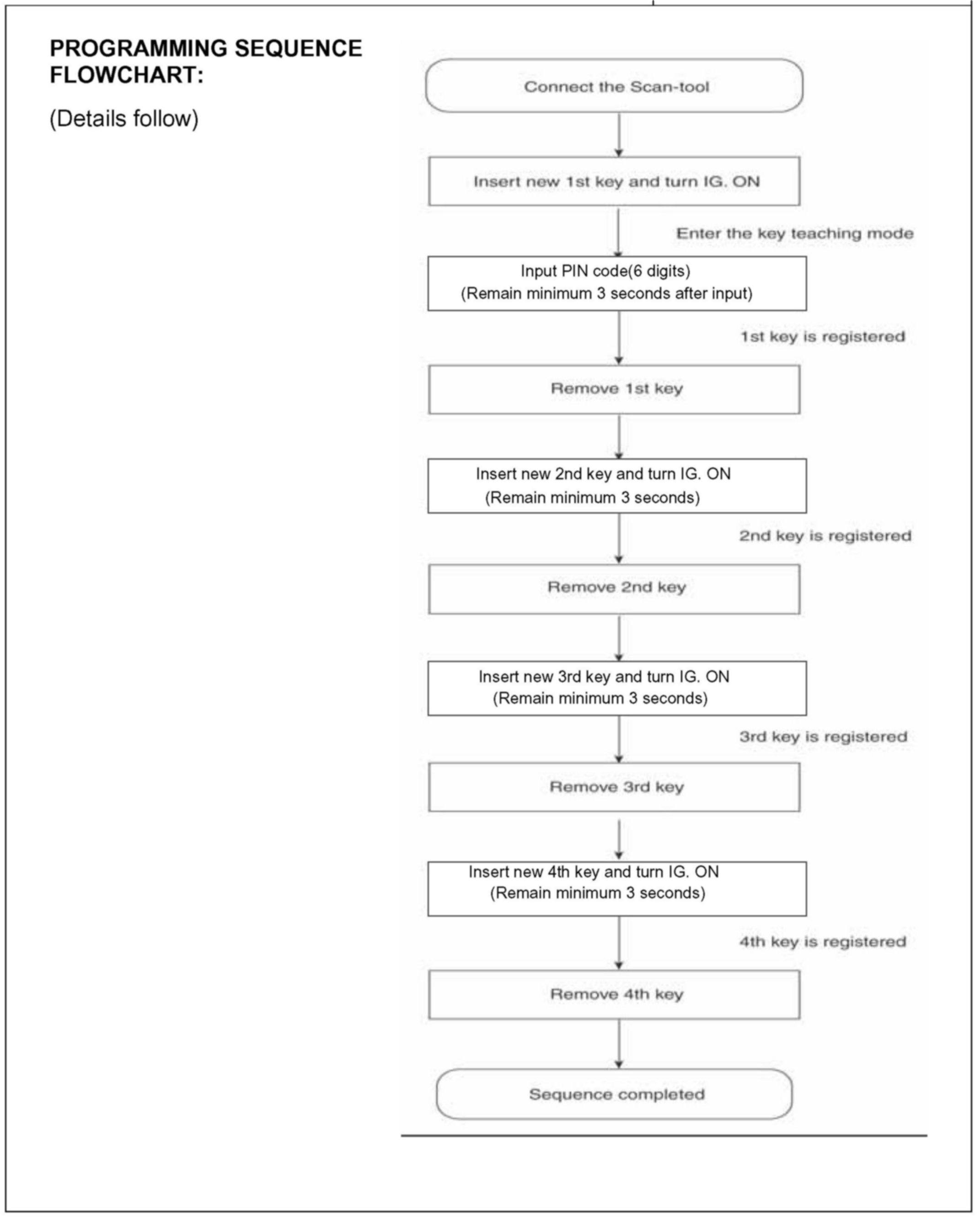
Programming Sequence Flowchart