LEMON Manuals: Even more car manuals for everyone: 1960-2025
Home >> Hyundai >> 2017 >> Elantra Value Edition >> Repair and Diagnosis (Single Page) >> Steering >> Electronic Steering >> Motor Driven Power Steering System >> Repair Procedures >> A/S Repair procedures >> MDPS System A/S Workflow >> Notes
April 5, 2026: LEMON Manuals is launched! Read the announcement.

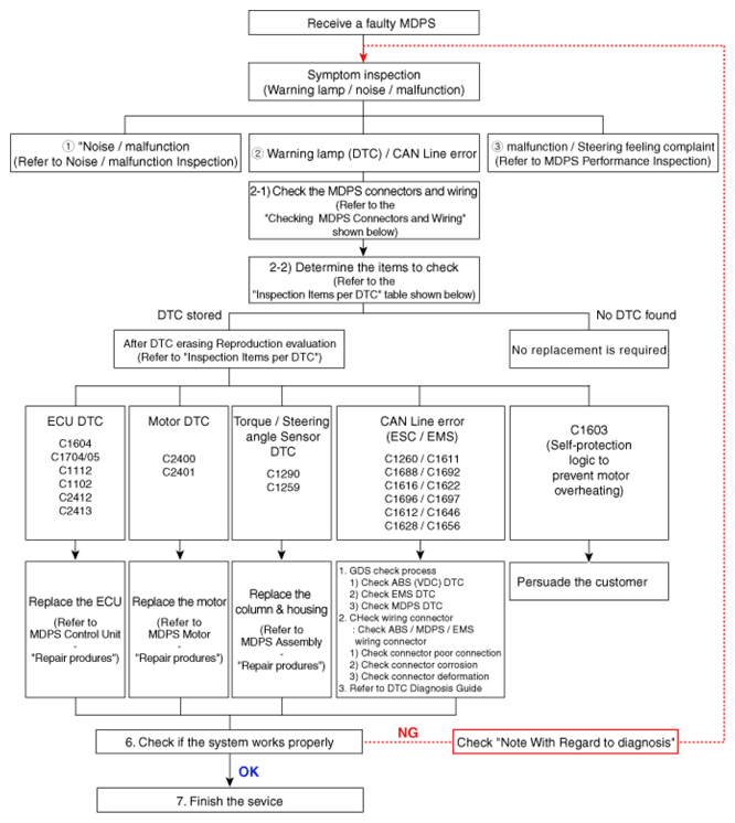
MDPS System A/S Workflow: Notes

G12973053Courtesy of HYUNDAI MOTOR AMERICA