LEMON Manuals: Even more car manuals for everyone: 1960-2025
Home >> Infiniti >> 1991 >> Q45 a >> Repair and Diagnosis >> Engine Performance >> System >> Engine Controls - Tests W/Codes >> Diagnostic Code Charts >> Code 45: Injector Leak
April 5, 2026: LEMON Manuals is launched! Read the announcement.

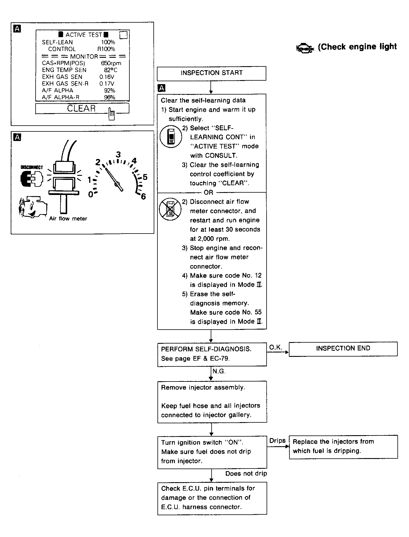
Code 45: Injector Leak

Fig 1: Code 45: Injector Leak Flow Chart (1 of 2)
G91J17391Courtesy of NISSAN MOTOR CO., U.S.A.
Fig 2: Code 45: Injector Leak Flow Chart (2 of 2)
G91A17392Courtesy of NISSAN MOTOR CO., U.S.A.