LEMON Manuals: Even more car manuals for everyone: 1960-2025
Home >> Infiniti >> 1992 >> G20 Automatic >> Repair and Diagnosis >> Engine Performance >> System >> Engine Controls - Tests W/Codes >> Trouble Code Charts >> DTC 21 - Ignition Signal Circuit
April 5, 2026: LEMON Manuals is launched! Read the announcement.

DTC 21 - Ignition Signal Circuit

Fig 1: Code 21 Schematic - Ignition Signal Circuit
G92B25719Courtesy of NISSAN MOTOR CO., U.S.A.
Fig 2: Code 21 Chart (1 of 2) - Ignition Signal Circuit
G92E25720Courtesy of NISSAN MOTOR CO., U.S.A.
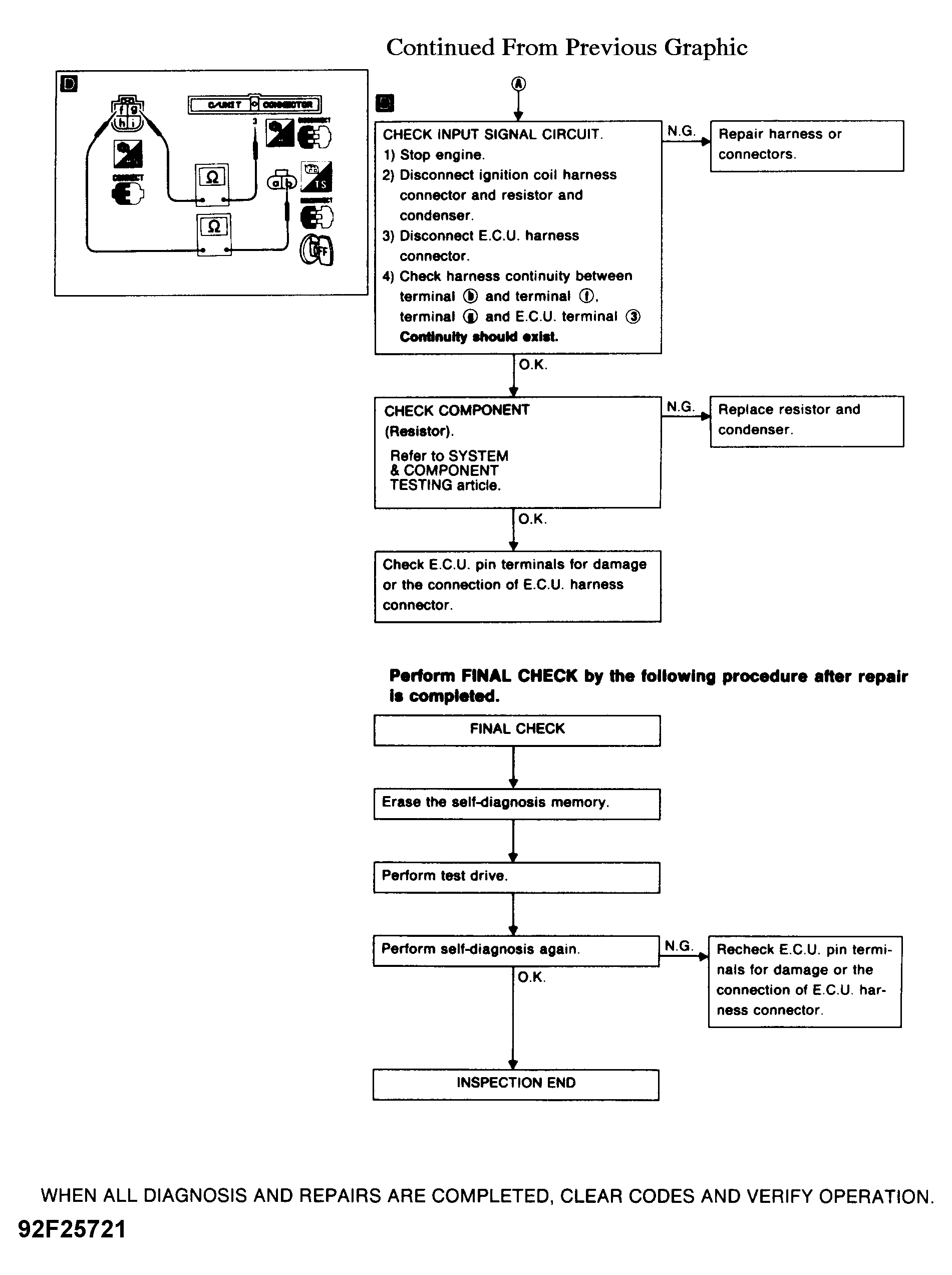
Fig 3: Code 21 Chart (2 of 2) - Ignition Signal Circuit
G92F25721Courtesy of NISSAN MOTOR CO., U.S.A.