LEMON Manuals: Even more car manuals for everyone: 1960-2025
Home >> Infiniti >> 1992 >> Q45 Base >> Repair and Diagnosis >> Engine Performance >> System >> Engine Controls - Tests W/Codes >> Trouble Code Charts >> DTC 14 - Vehicle Speed Sensor
April 5, 2026: LEMON Manuals is launched! Read the announcement.

DTC 14 - Vehicle Speed Sensor

Fig 1: Code 14 Schematic - Vehicle Speed Sensor
G90B18698Courtesy of NISSAN MOTOR CO., U.S.A.
Fig 2: Code 14 Connector Location - Vehicle Speed Sensor
G90C18699Courtesy of NISSAN MOTOR CO., U.S.A.
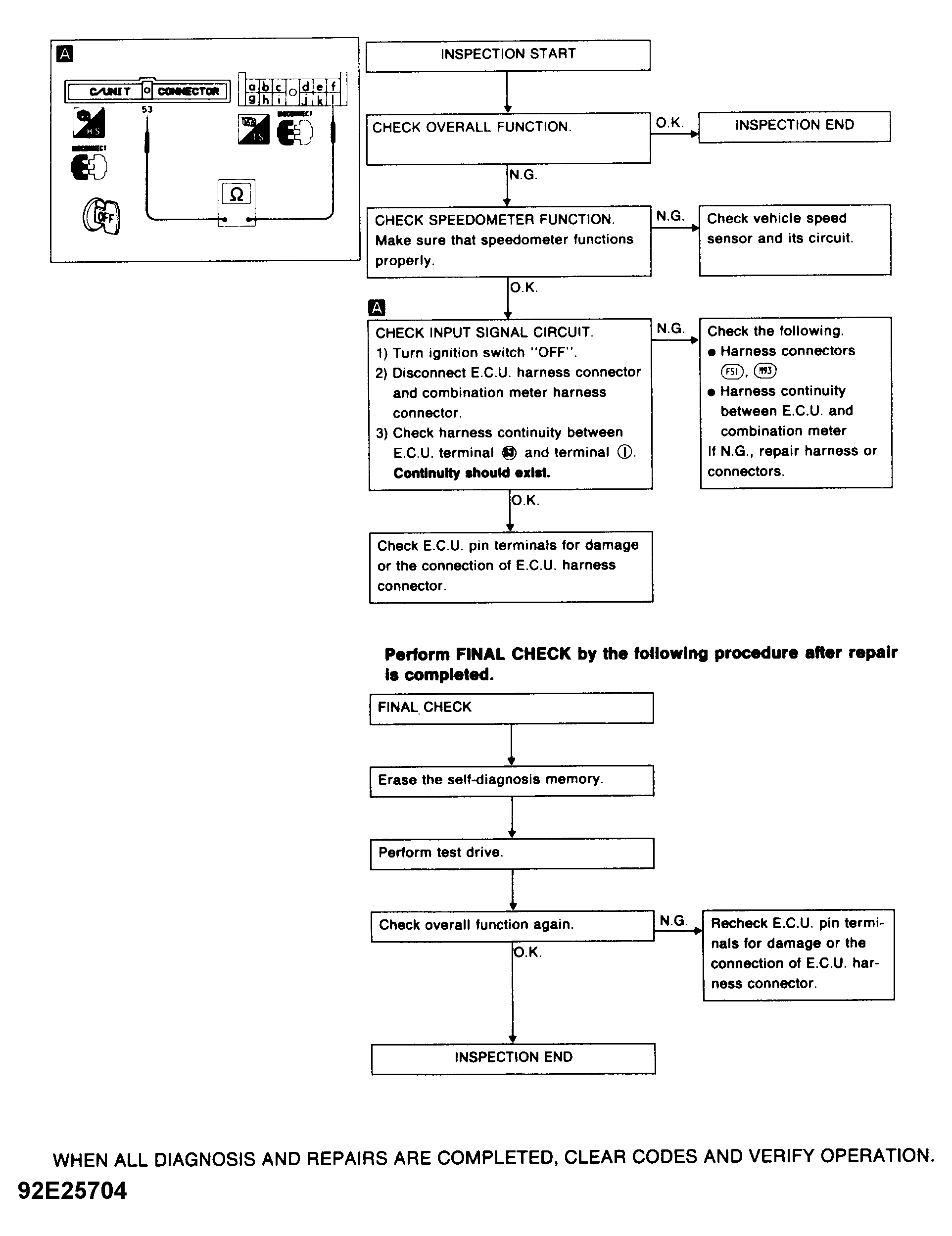
Fig 3: Code 14 Flow Chart - Vehicle Speed Sensor
G92E25704Courtesy of NISSAN MOTOR CO., U.S.A.