LEMON Manuals: Even more car manuals for everyone: 1960-2025
Home >> Infiniti >> 2003 >> M45 >> Repair and Diagnosis >> Engine Performance >> System >> Engine Controls - Self-Diagnostics >> Diagnostic Tests >> DTC P0452: EVAP Control System Pressure Sensor (Low) >> Diagnostic Procedure
April 5, 2026: LEMON Manuals is launched! Read the announcement.

Diagnostic Procedure

For diagnostic procedure, see Fig 1 -Fig 3 .

Fig 1: Diagnostic Procedure (Steps 1-2)
G00276648Courtesy of NISSAN MOTOR CO., U.S.A.
Fig 2: Diagnostic Procedure (Steps 3-6)
G00276649Courtesy of NISSAN MOTOR CO., U.S.A.
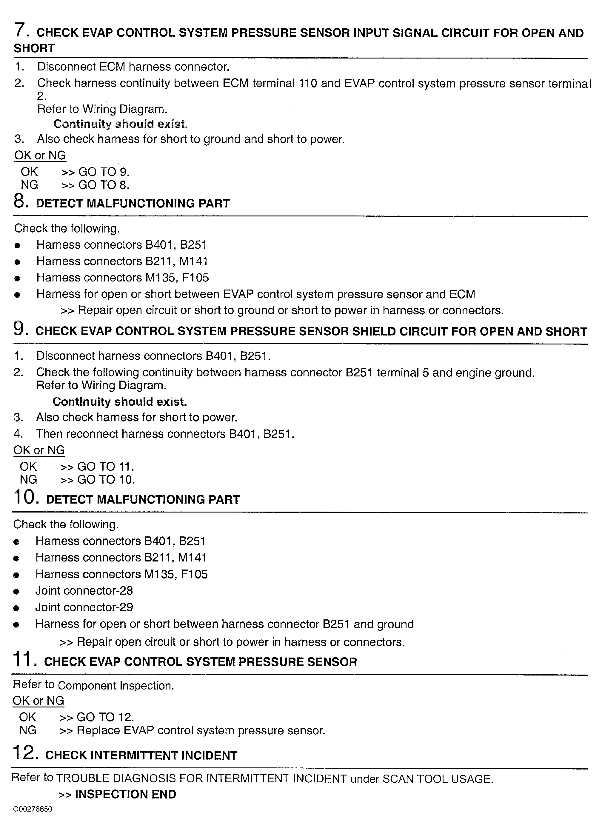
Fig 3: Diagnostic Procedure (Steps 7-12)
G00276650Courtesy of NISSAN MOTOR CO., U.S.A.