LEMON Manuals: Even more car manuals for everyone: 1960-2025
Home >> Infiniti >> 2013 >> M37 Base >> Repair and Diagnosis >> Transmission >> Automatic Transmission >> Symptom Diagnosis >> System Symptom >> Symptom Table >> Symptom Table 1
April 5, 2026: LEMON Manuals is launched! Read the announcement.

Symptom Table 1

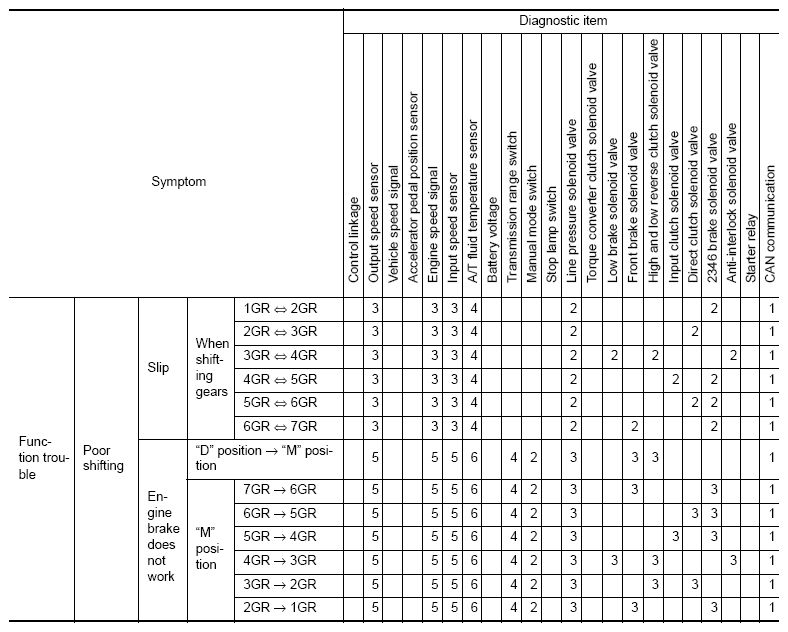
Fig 1: Diagnostic Item Symptom Chart 1 (1 Of 5)
G08890785Courtesy of NISSAN NORTH AMERICA, INC.
Fig 2: Diagnostic Item Symptom Chart 1 (2 Of 5)
G08890786Courtesy of NISSAN NORTH AMERICA, INC.
Fig 3: Diagnostic Item Symptom Chart 1 (3 Of 5)
G08890787Courtesy of NISSAN NORTH AMERICA, INC.
Fig 4: Diagnostic Item Symptom Chart 1 (4 Of 5)
G08890788Courtesy of NISSAN NORTH AMERICA, INC.
Fig 5: Diagnostic Item Symptom Chart 1 (5 Of 5)
G08890789Courtesy of NISSAN NORTH AMERICA, INC.