LEMON Manuals: Even more car manuals for everyone: 1960-2025
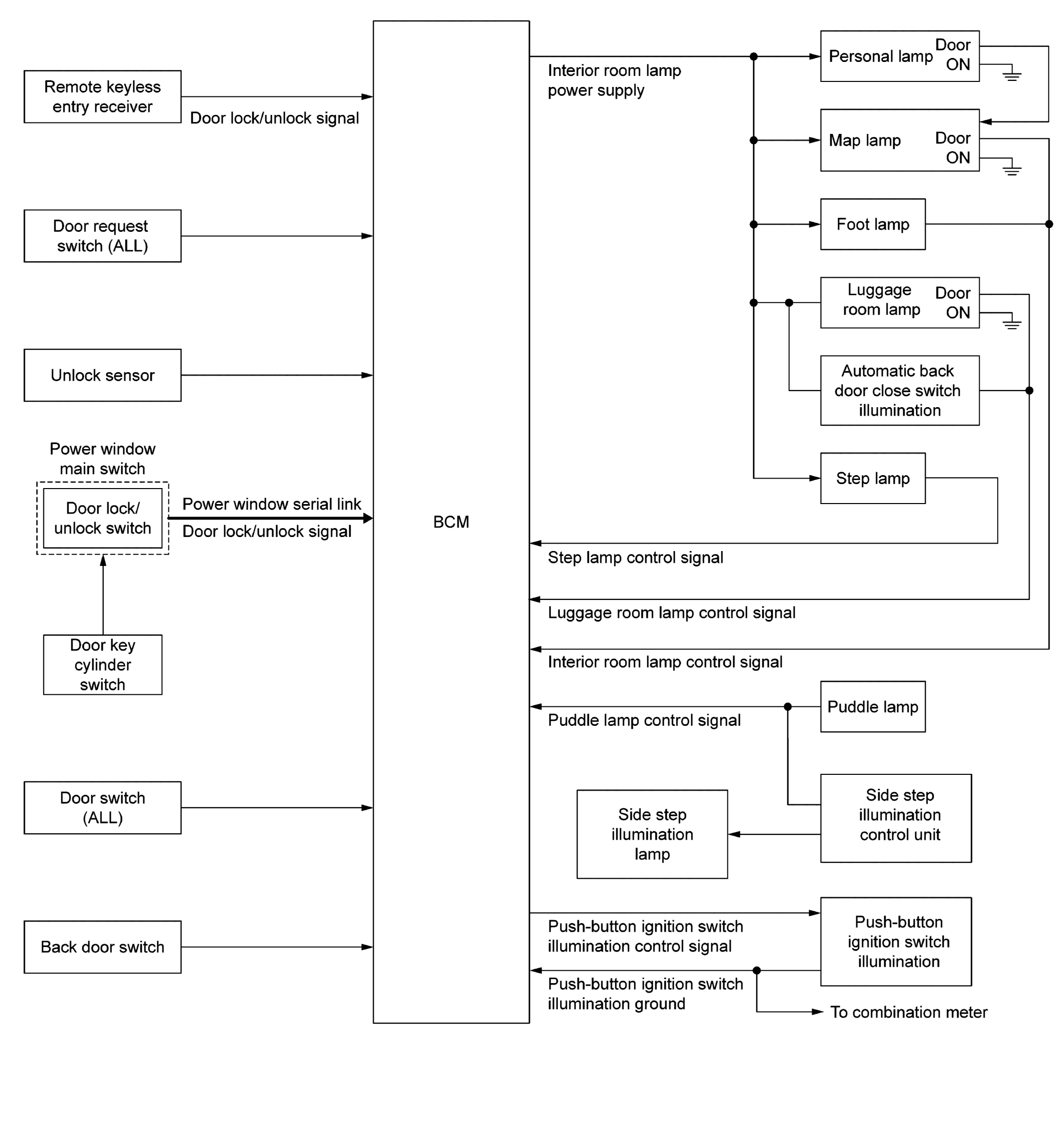
Home >> Infiniti >> 2017 >> QX80 Base, AWD >> Repair and Diagnosis >> External Pages >> Different car >> Section 113 (Interior Lighting System) >> System Description >> System >> Interior Room Lamp Control System >> System Diagram >> With Side Step Illumination Models
April 5, 2026: LEMON Manuals is launched! Read the announcement.

With Side Step Illumination Models

WARNING: This page is about a different car, the 2016 Infiniti QX80. However, it is still accessible from the selected car via links, so may be relevant.
GNSJMLIA6712GB-712Courtesy of NISSAN NORTH AMERICA, INC.