LEMON Manuals: Even more car manuals for everyone: 1960-2025
Home >> Infiniti >> 2022 >> QX60 Autograph, AWD >> Repair and Diagnosis >> Transmission >> Transmission Control Systems >> Drive Mode System >> Basic Inspection >> Diagnosis And Repair Work Flow >> Work Flow >> INFINITI Drive Mode Selector (Personal Mode Setting)
April 5, 2026: LEMON Manuals is launched! Read the announcement.

INFINITI Drive Mode Selector (Personal Mode Setting)

Overall Sequence 

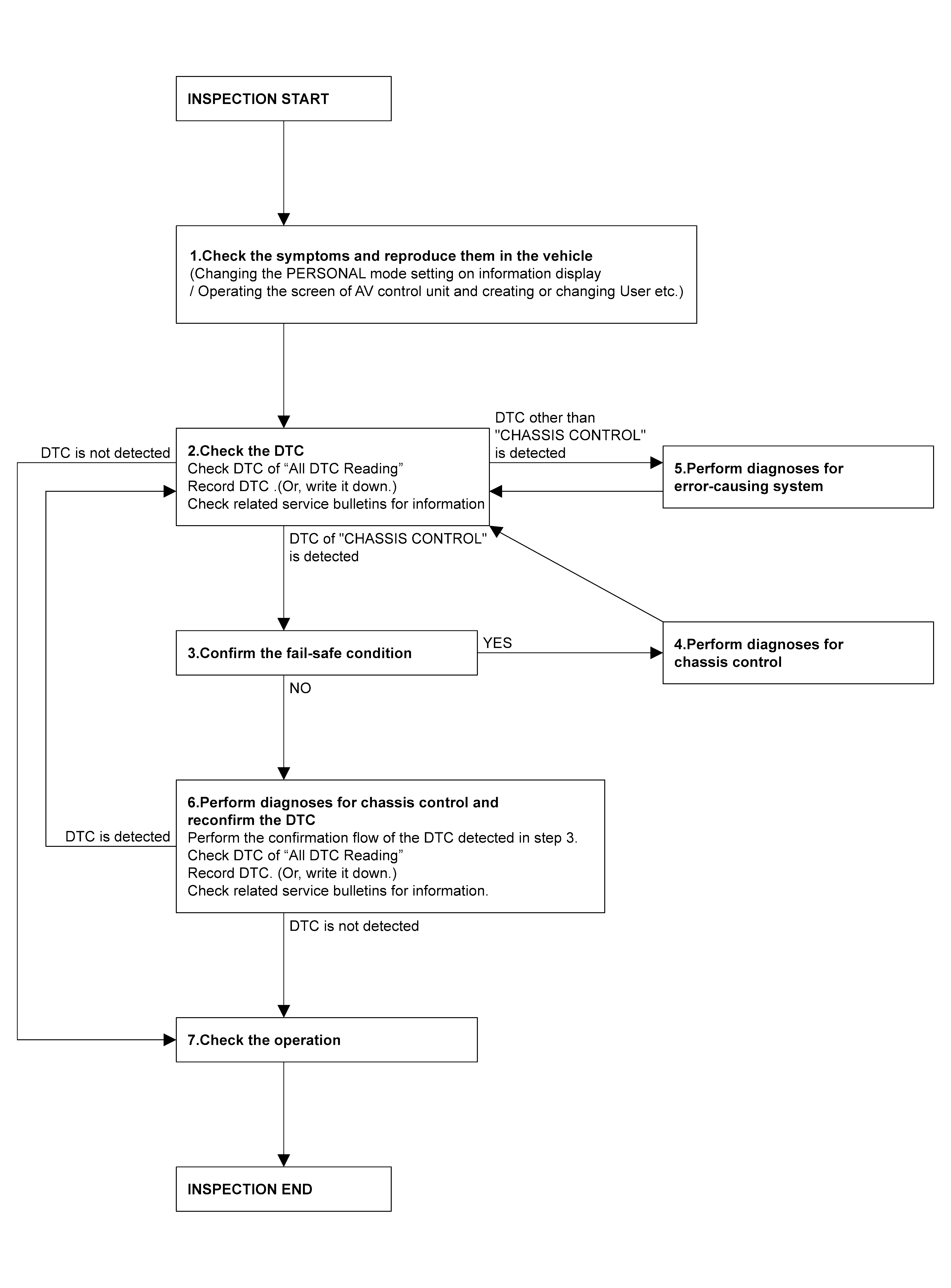
GNSDB19580Courtesy of NISSAN NORTH AMERICA, INC.

Detailed Flow 

  1. CHECK THE SYMPTOMS AND REPRODUCE THEM IN THE VEHICLE 

    Changing the PERSONAL mode setting on information display. / Operating the screen of AV control unit and creating or changing User etc.

    GO TO 2.

  2. CHECK THE DTC 
    1. Check DTC of "All DTC Reading".
    2. Perform the following procedure if DTC is displayed.
      • Record DTC. (Or, write it down.)
    3. Check related service bulletins for information.

    Are any DTCs detected?

    DTC is detected of "CHASSIS CONTROL"

    GO TO 3.

    DTC is detected other than "CHASSIS CONTROL"

    GO TO 5.

    DTC is detected other than "CHASSIS CONTROL"

    GO TO 7.

  3. CONFIRM THE FAIL-SAFE CONDITION 
    1. Confirm the fail-safe condition of detected DTC refer to Fail-safe on "CHASSIS CONTROL".

    Are there any DTCs that causes "INFINITI drive mode selector function" is suspended?

    YES

    GO TO 4.

    NO

    GO TO 6.

  4. PERFORM DIAGNOSES FOR CHASSIS CONTROL 

    Perform the trouble diagnosis of components that DTC indicated in "CHASSIS CONTROL".

    GO TO 2.

  5. PERFORM DIAGNOSES FOR ERROR-CAUSING SYSTEM 

    Perform the trouble diagnosis of components that DTC indicated.

    GO TO 2.

  6. PERFORM DIAGNOSES FOR CHASSIS CONTROL AND RECONFIRM THE DTC 
    1. Perform the confirmation flow of the DTC detected in step 3.
    2. Check DTC of "All DTC Reading"
    3. Perform the following procedure if DTC is displayed.
      • Record DTC. (Or, write it down.)
    4. Check related service bulletins for information.

    Are any DTCs detected?

    DTC is detected

    GO TO 2.

    DTC is not detected

    GO TO 7.

  7. CHECK THE OPERATION 

    Finally, check the symptoms and reproduce them again in the vehicle. (Changing the PERSONAL mode setting on information display. / Operating the screen of AV control unit and creating or changing User etc.)

    INSPECTION END