LEMON Manuals: Even more car manuals for everyone: 1960-2025
Home >> Infiniti >> 2022 >> QX60 Pure, FWD >> Repair and Diagnosis >> Transmission >> Transmission Control Systems >> Drive Mode System >> Basic Inspection >> Diagnosis And Repair Work Flow >> Work Flow >> INFINITI Drive Mode Selector
April 5, 2026: LEMON Manuals is launched! Read the announcement.

INFINITI Drive Mode Selector

Overall Sequence 

GNSDB17849Courtesy of NISSAN NORTH AMERICA, INC.

Detailed Flow 

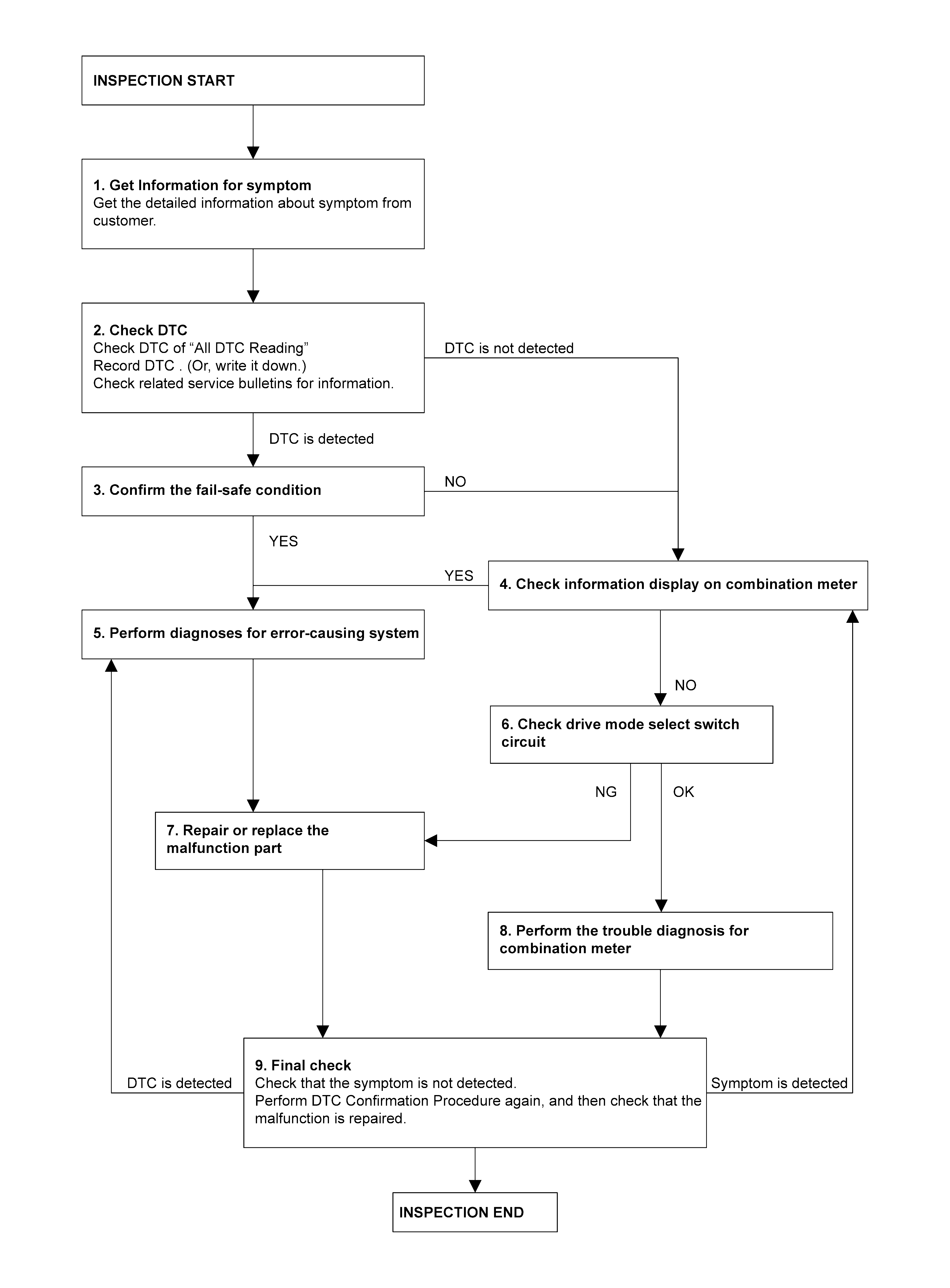
  1. GET INFORMATION FOR SYMPTOM 
    1. Get the detailed information about symptom from customer.
    2. Check the drive mode indicator on the meter appeared.
    3. Check the Drive mode indicator on the meter changed when operates the drive mode select switch.

    GO TO 2.

  2. CHECK THE DTC 
    1. Check DTC of "All DTC Reading".
    2. Perform the following procedure if DTC is displayed.
      • Record DTC and freeze frame data. (Or, write it down.)
    3. Check related service bulletins for information.

    Are any DTCs detected?

    YES

    GO TO 3.

    NO

    GO TO 4.

  3. CONFIRM THE FAIL-SAFE CONDITION 

    Confirm the fail-safe condition of detected DTC. Refer to Fail-Safe .

    Are there any DTCs that causes INFINITI drive mode selector function is suspended?

    YES

    GO TO 5.

    NO

    GO TO 4.

  4. CHECK INFORMATION DISPLAY ON COMBINATION METER 
    1. Ignition switch OFF and wait at least 10 seconds.
    2. Ignition switch ON.
    3. Check that STANDARD / AUTO is displayed on the information display screen of the combination meter.
    4. Check that the view of information display change when switching up and down the drive mode select switch.

    Is the inspection result normal?

    YES

    GO TO 5.

    NO

    GO TO 6.

  5. PERFORM DIAGNOSES FOR ERROR-CAUSING SYSTEM 

    Perform the trouble diagnosis of components that DTC indicated.

    GO TO 7.

  6. CHECK DRIVE MODE SELECT SWITCH CIRCUIT 

    Check drive mode select switch circuit. Refer to Diagnosis Procedure .

    Is the inspection result normal?

    YES

    GO TO 8.

    NO

    GO TO 7.

  7. REPAIR OR REPLACE THE MALFUNCTION PART 

    Repair or replace the malfunctioning part.

    GO TO 9.

  8. CHECK COMBINATION METER 

    Check the COMBINATION METER.

    GO TO 9.

  9. FINAL CHECK 
    1. Check that the symptom is not detected.
    2. Perform DTC Confirmation Procedure again, and then check that the malfunction is repaired.

    Is DTC detected and/or does symptom remain?

    YES

    (DTC is detected) GO TO 5.

    YES

    (Symptom remains) GO TO 4.

    NO

    INSPECTION END