LEMON Manuals: Even more car manuals for everyone: 1960-2025
Home >> Infiniti >> 2024 >> Q50 Luxe, AWD >> Repair and Diagnosis >> Engine Performance >> Engine Control Systems >> Drive Mode System >> Basic Inspection >> Log-In Function >> Diagnosis And Repair Work Flow >> Work Flow
April 5, 2026: LEMON Manuals is launched! Read the announcement.

Work Flow

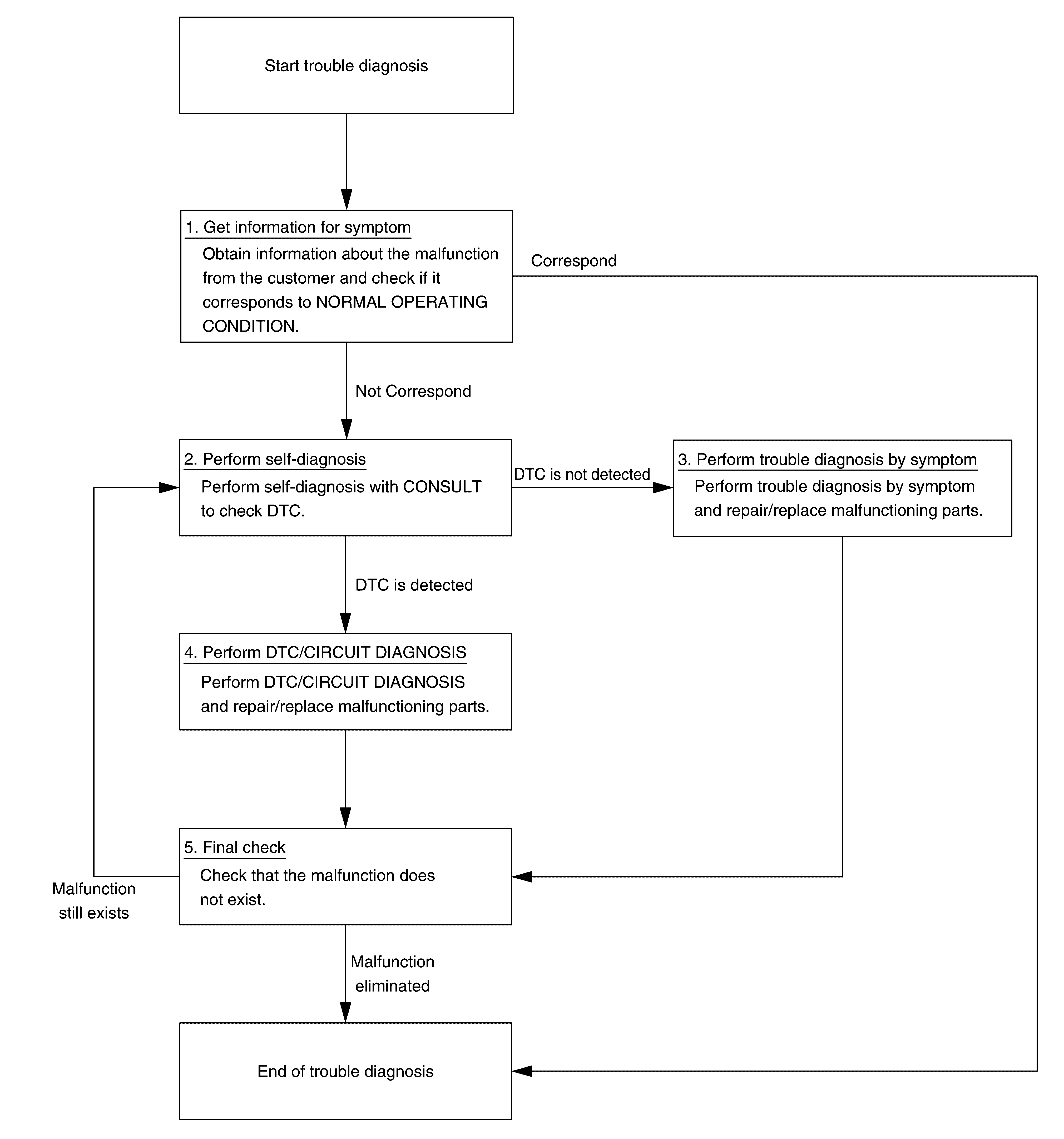
OVERALL SEQUENCE 

GNSDB147594Courtesy of NISSAN NORTH AMERICA, INC.

DETAILED FLOW 

  1. GET INFORMATION FOR SYMPTOM 

    Obtain information about the malfunction from the customer and check if it corresponds to NORMAL OPERATING CONDITION.

    Does it correspond to NORMAL OPERATING CONDITION?

    YES>>

    Explain to the customer that it is not a malfunction.

    NO>>

    GO TO 2.

  2. PERFORM SELF-DIAGNOSIS SYMBOL

    Perform self-diagnosis for "CHASSIS CONTROL".

    Is DTC detected?

    YES>>

    Record or print self-diagnosis results and freeze frame data (FFD). GO TO 4.

    NO>>

    GO TO 3.

  3. PERFORM TROUBLE DIAGNOSIS BY SYMPTOM 

    Perform trouble diagnosis by symptom and repair/replace malfunctioning parts.

    >>

    GO TO 5.

  4. PERFORM DTC/CIRCUIT DIAGNOSIS 

    Perform DTC/CIRCUIT DIAGNOSIS and repair/replace malfunctioning parts.

    >>

    GO TO 5.

  5. FINAL CHECK 

    Recheck the symptom and check that symptom is not reproduced on the same conditions.

    Is the symptom reproduced?

    YES>>

    GO TO 2.

    NO>>

    INSPECTION END