LEMON Manuals: Even more car manuals for everyone: 1960-2025
Home >> Lexus >> 1990 >> LS 400 V8-4.0L (1UZ-FE) >> Repair and Diagnosis >> Powertrain Management >> Computers and Control Systems >> Throttle Position Sensor >> Testing and Inspection >> Throttle Position Sensor Signal
April 5, 2026: LEMON Manuals is launched! Read the announcement.

Throttle Position Sensor Signal

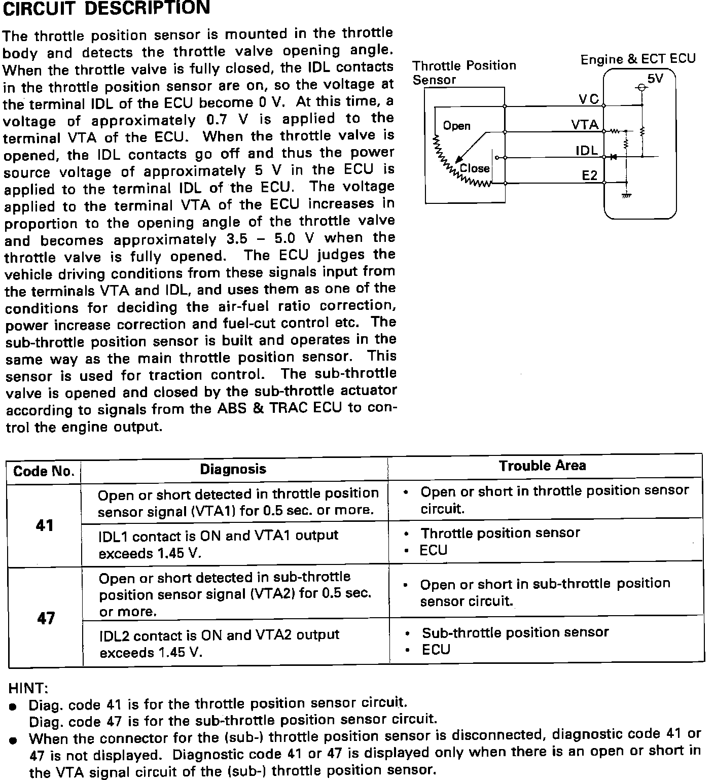
Fig. 22 Diagnostic Code 41 & 47 (Sub-throttle Position Sensor Circuit, Part 1 Of 4):



Fig. 22 Diagnostic Code 41 & 47 (Sub-throttle Position Sensor Circuit, Part 2 Of 4):



Fig. 22 Diagnostic Code 41 & 47 (Sub-throttle Position Sensor Circuit, Part 3 Of 4):



Fig. 22 Diagnostic Code 41 & 47 (Sub-throttle Position Sensor Circuit, Part 4 Of 4):