LEMON Manuals: Even more car manuals for everyone: 1960-2025
Home >> Lexus >> 1995 >> ES 300 V6-3.0L (1MZ-FE) >> Repair and Diagnosis >> Body and Frame >> Locks >> Keyless Entry >> Keyless Entry Transmitter >> Keyless Entry Transmitter Battery >> Service and Repair
April 5, 2026: LEMON Manuals is launched! Read the announcement.

Keyless Entry Transmitter Battery: Service and Repair

Transmitter and recognition code replacement

CAUTION: Each part is a precise electronic instrument which must be handled carefully. The transmitter and door control receiver are provided as separate supply parts, so the recognition code must be registered when replacing the parts.


1. Replacement of transmitter battery







(a) Remove the screw and slide the cover to the rear to remove it.
(b) Remove the battery and 0-ring.






(c) Set the new 0-ring and battery into the transmitter with the battery's positive terminal (+) facing upward.
(d) When closing the cover, take care that the 0-ring is not twisted or displaced.
(e) Tighten the screw.

2. Registration of recognition code


Programming Recognition Code (1 Of 3):





Programming Recognition Code (2 Of 3):





Programming Recognition Code (3 Of 3):







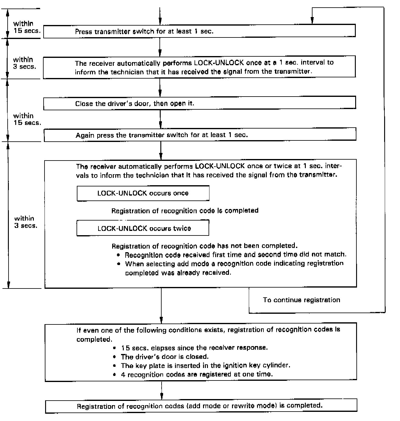
Follow the flow chart to register the transmitter recognition code with the door control receiver.

Note: If the prescribed conditions are not while registering the transmitter code, the receiver returns to normal operation.

There are 3 modes: add mode, rewrite mode and confirmation mode; the mode to use is decided after the recognition code is registered.

If maximum of 4 recognition codes can be registered.

Note: The add mode is used to retain codes already registered while you register new recognition codes. However, if the number of registered codes exceeds 4 codes, previously registered codes are correspondingly erased in order, starting from the first registered code.

The rewrite mode is used to erase all previously registered codes before registering new recognition codes. This mode is used when replacing the transmitter or door control receiver.

The confirmation mode is for confirming how many recognition codes are already registered before you register additional recognition codes.