LEMON Manuals: Even more car manuals for everyone: 1960-2025
Home >> Lexus >> 1995 >> ES 300 >> Repair and Diagnosis >> Electrical >> Gauges >> Instrument Panel >> System Testing
April 5, 2026: LEMON Manuals is launched! Read the announcement.

System Testing

NOTE: Unless specified otherwise, use a DVOM with a minimum input impedance of 10-megohms. For electrical component locations, see ELECTRICAL COMPONENT LOCATIONS  under DESCRIPTION & OPERATION.

Identify symptom and perform corrective action as necessary. See appropriate SYSTEM TESTS INDEX & TROUBLE SHOOTING GUIDE.

SYSTEM TESTS INDEX & TROUBLE SHOOTING GUIDE

Symptom Action Or Fig. No.
All Meters, Gauges & Lights
No Display At All See Figure
4 Indicator Needles Do Not Illuminate Replace Meter Computer
One Indicator Needle Does Not Illuminate See Figure
Character Plate Does Not Illuminate See Figure
Character Plate Not Illuminated At One Or More Locations See Figure
Brightness Does Not Change With Lights In OFF Or TAIL See Figure
Brightness Does Not Change When Rheostat Is Turned See Figure
Brightness Remains Dim With Light Switch OFF Replace Meter Computer
Brightness Does Not Go Out When Starter Is Operated See Figure
Speedometer
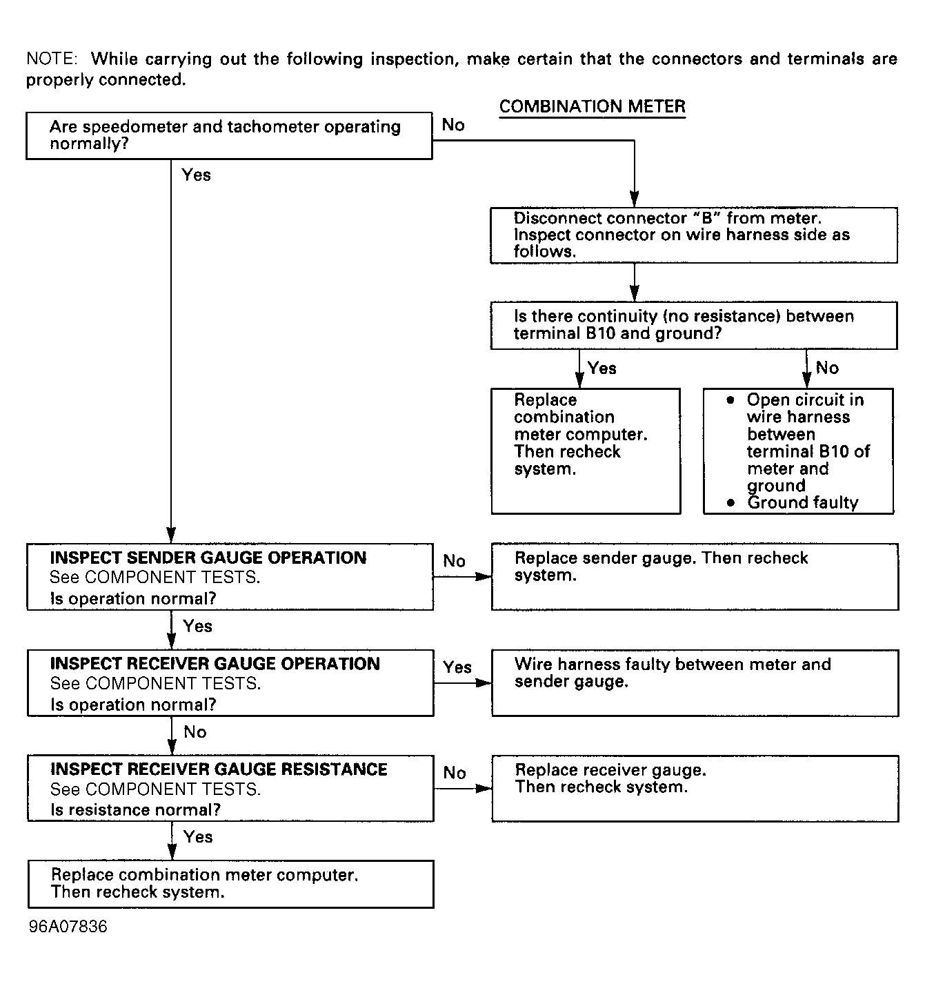
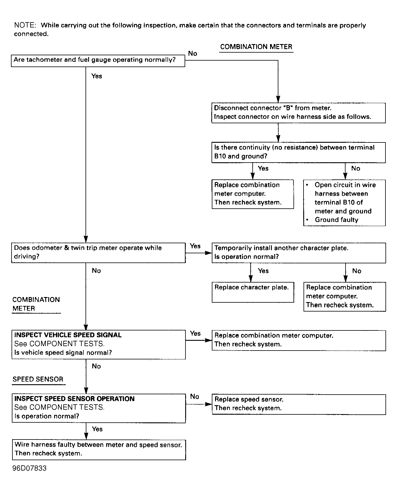
Does Not Operate While Driving See Figure
Vehicle Speed Signal (4P) Faulty See Figure
Tachometer Does Not Operate While Engine Is Running See Figure
Fuel Gauge Does Not Operate Or Operation Is Abnormal See Figure
Fuel Level Warning Does Not Illuminate Or Always Illuminated See Figure
Engine Coolant Temp. Gauge Does Not Operate Or Operation Is Abnormal See Figure
Odometer & Twin Trip Meter
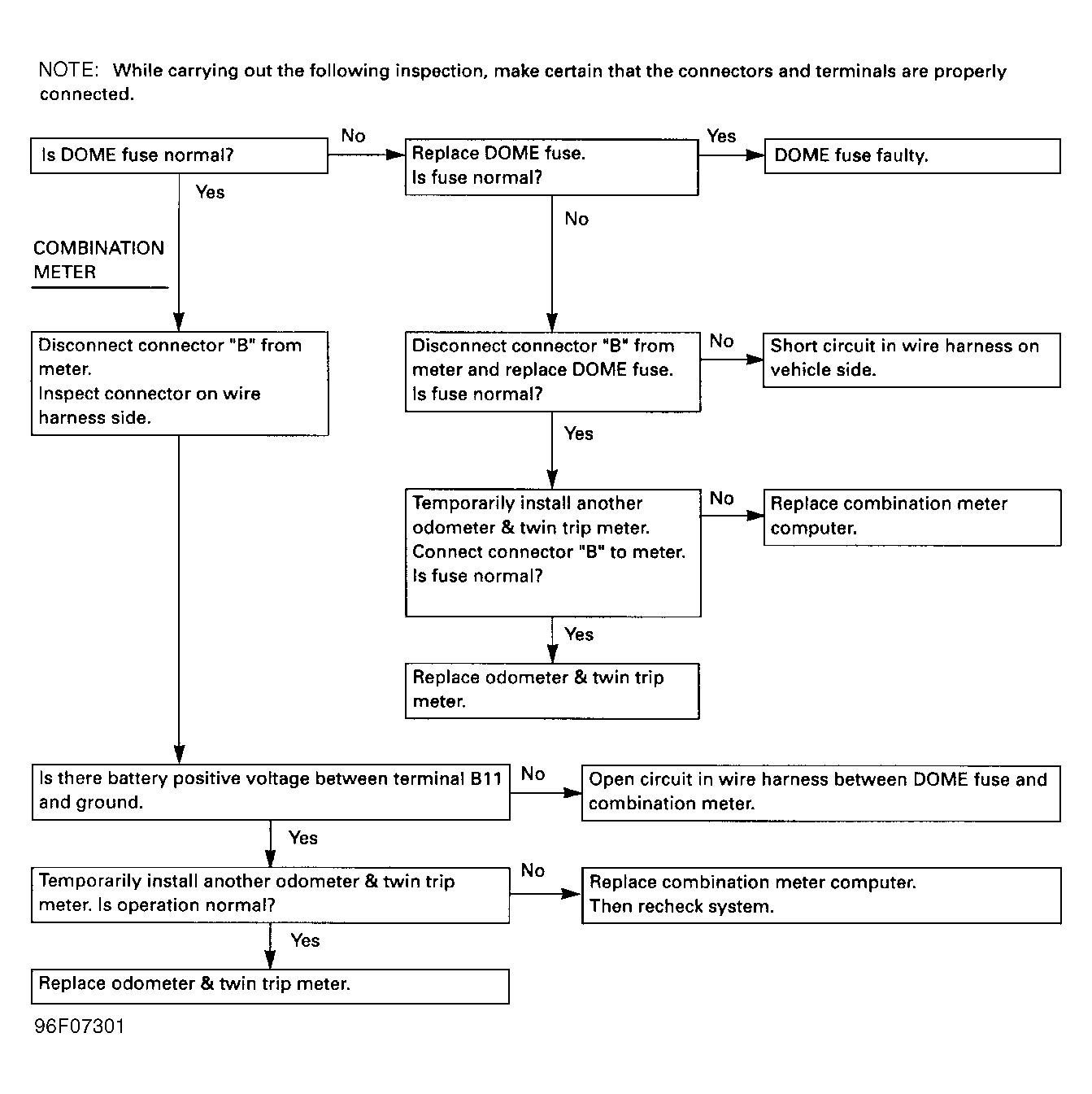
Display Does Not Change While Driving See Figure
Display Does Not Reset When Reset Switch Pressed See Figure
Twin Trip Meter
Display Is Reset While Driving, Switch Not Pressed See Figure
Display Does Not Change When ODO/TRIP Switch Is Pressed See Figure
Display Is Reset When Ignition Turned Off See Figure
Abnormal Display Replace Odo & Twin Trip Meter
Abnormal Low Oil Press. Warning Operation Or Warning Does Not Illuminate See Figure
Abnormal Brake Warning Operation Or Warning Does Not Illuminate See Figure
Abnormal Light Failure Warning Operation Or Warning Does Not Illuminate See Figure
Abnormal Open Door Warning Operation Or Warning Does Not Illuminate See Figure
Abnormal Engine Oil Level Warning Operation Or Warning Does Not Illuminate See Figure
Abnormal Seat Belt Warning Chime Operation Or Chime Does Not Operate See COMPONENT TESTS
Abnormal SEAT BELT Warning Operation Or Warning Does Not Illuminate See Figure
Abnormal Turn Signal Indicator Operation Or Indicator Does Not Illuminate See Figure
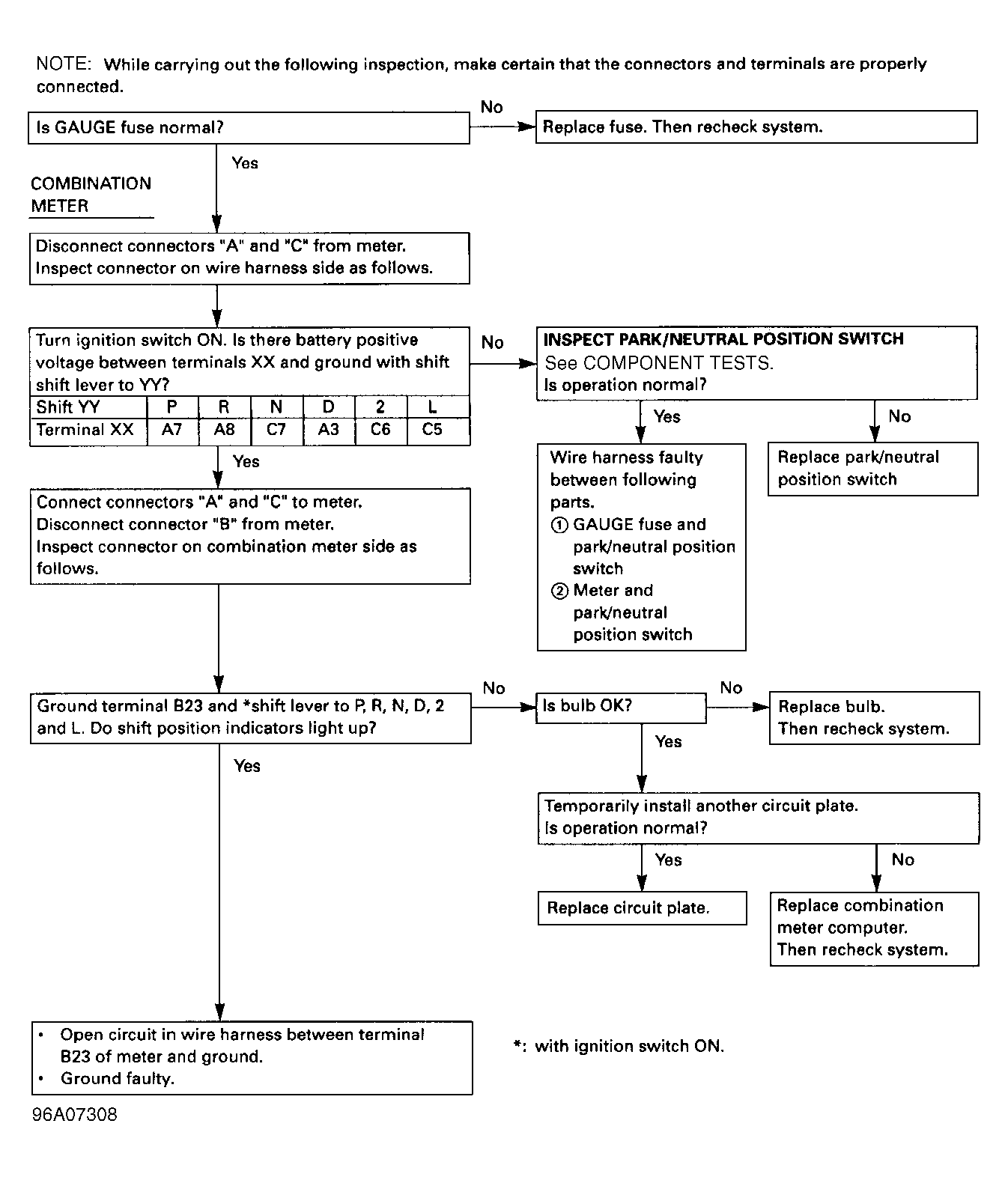
Abnormal Shift Position Indicator Operation Or Indicator Does Not Illuminate See Figure
Abnormal Transmission PWR Indicator Operation Or Indicator Does Not Illuminate See Figure
Abnormal Malfunction Indicator Operation Or Indicator Does Not Illuminate See Figure
Abnormal ABS Warning Operation Or Warning Does Not Illuminate See Figure
Abnormal CRUISE Indicator Operation Or Indicator Does Not Illuminate See Figure
Abnormal O/D OFF Indicator Operation Or Indicator Does Not Illuminate See Figure
Abnormal SRS Warning Operation Or Warning Does Not Illuminate See Figure
Abnormal Discharge Warning Operation Or Warning Does Not Illuminate See Figure
Abnormal Hi-Beam Indicator Operation Or Indicator Does Not Illuminate See Figure
Abnormal Window Washer Warning Operation Or Warning Does Not Illuminate See Figure
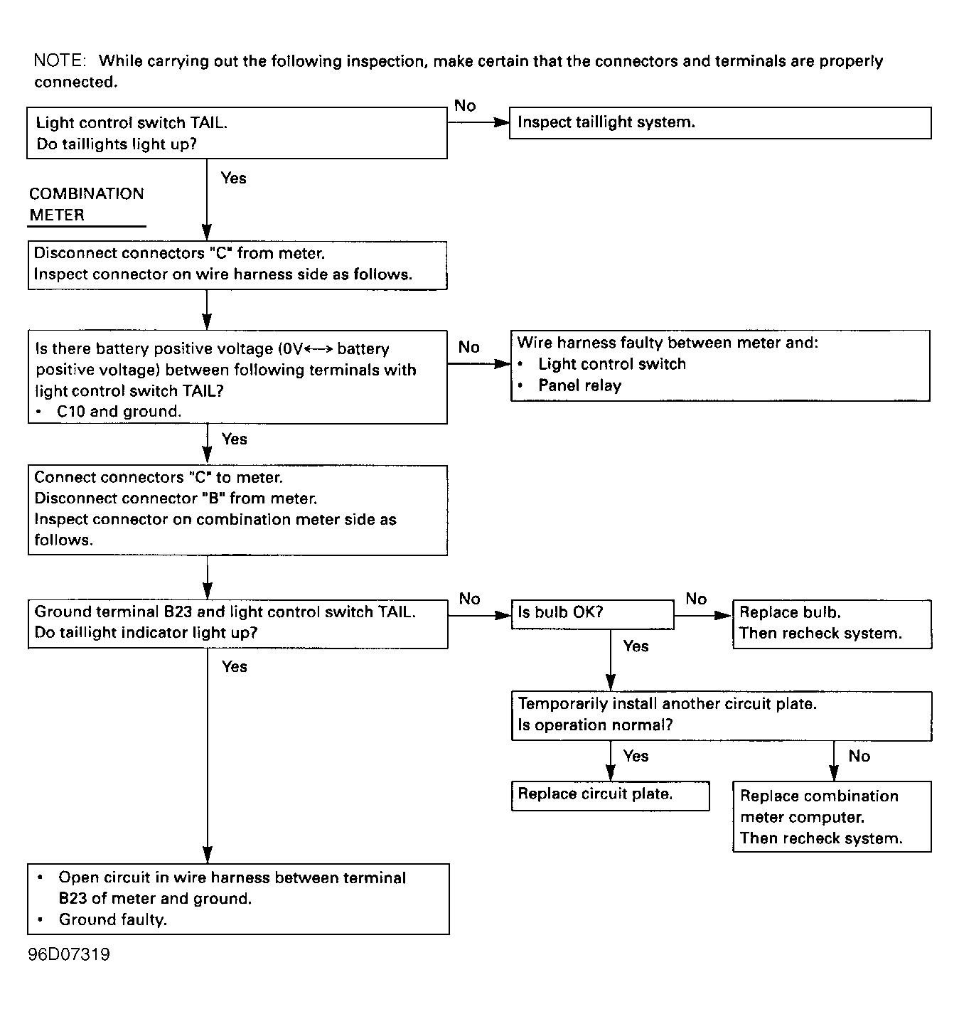
Abnormal Taillight Indicator Operation Or Indicator Does Not Illuminate See Figure
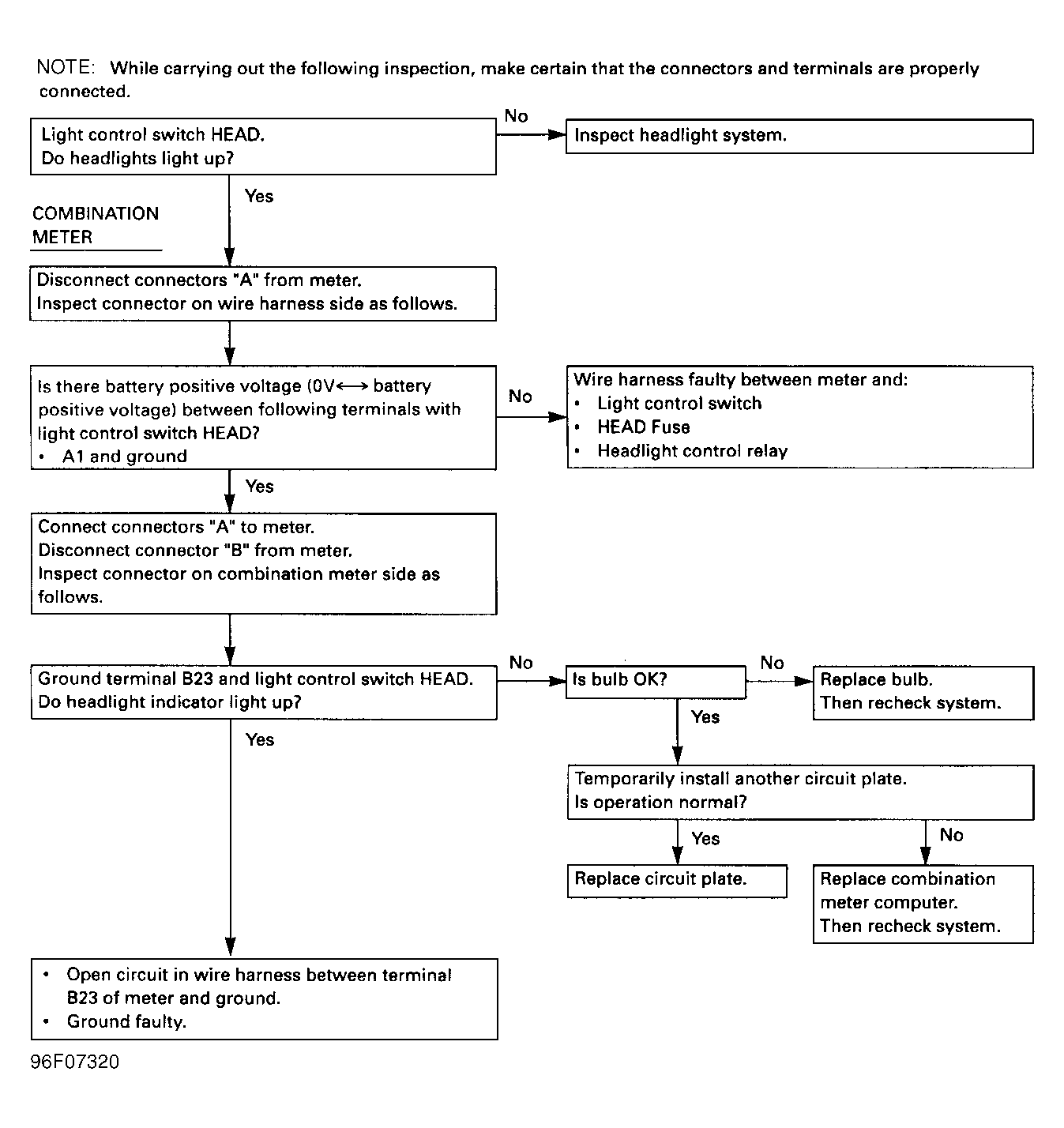
Abnormal Headlight Indicator Operation Or Indicator Does Not Illuminate See Figure