LEMON Manuals: Even more car manuals for everyone: 1960-2025
Home >> Lexus >> 1996 >> SC 300 Standard >> Repair and Diagnosis (Single Page) >> Electrical >> Gauges >> Instrument Panel >> System Testing >> Notes
April 5, 2026: LEMON Manuals is launched! Read the announcement.

System Testing: Notes

NOTE: Unless specified otherwise, use a DVOM with a minimum input impedance of 10-megohms. For electrical component locations, see ELECTRICAL COMPONENT LOCATIONS  under DESCRIPTION & OPERATION.

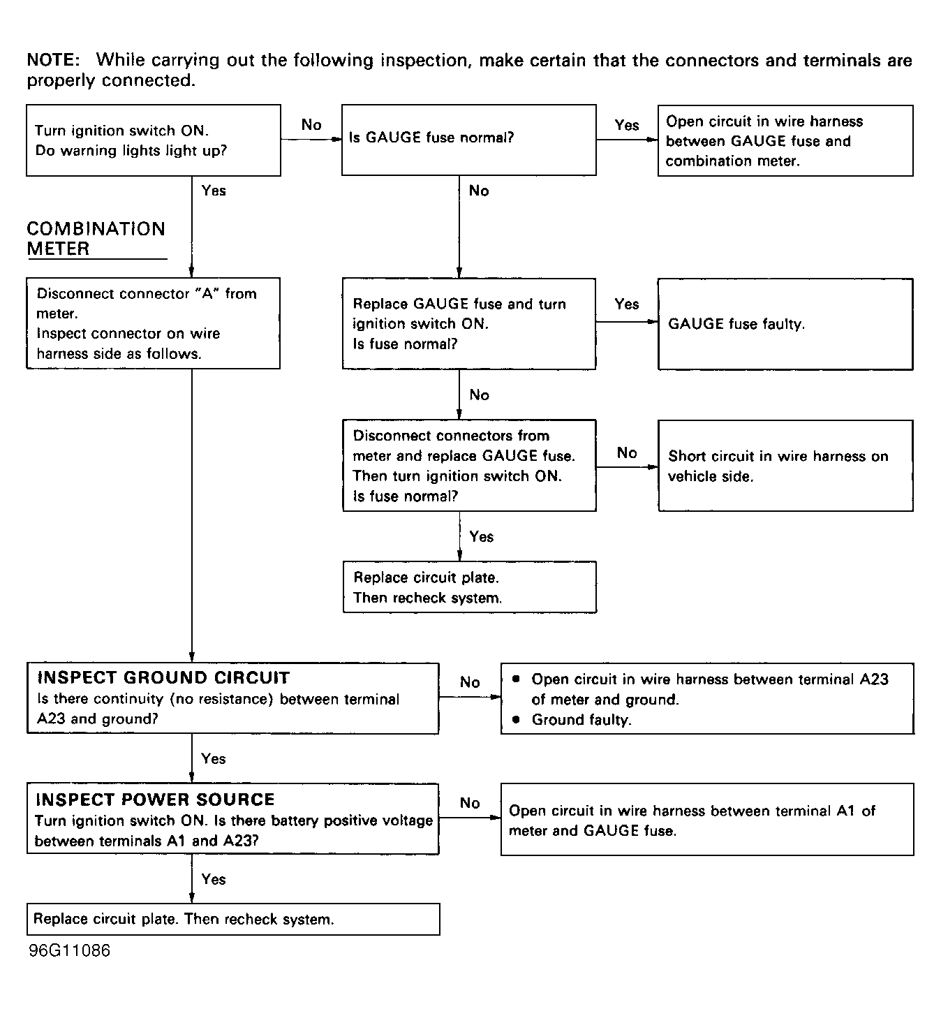
Identify symptom and perform corrective action as necessary. See appropriate SYSTEM TESTS INDEX & TROUBLE SHOOTING GUIDE  table.

SYSTEM TESTS INDEX & TROUBLE SHOOTING GUIDE

Component Symptom Action Or Fig. No.
All Meters, Gauges & Lights No Display At All See Figure
" 4 Indicator Needles Do Not Illuminate Replace Circuit Plate
" One Indicator Needle Does Not Illuminate See Figure
" Entire Character Plate Does Not Illuminate Replace Circuit Plate
" Character Plate Not Illuminated At One Or More Locations See Figure
" Brightness Does Not Change With Lights In OFF Or TAIL See Figure
" Brightness Does Not Change When Rheostat Is Turned See Figure
" Brightness Remains Dim With Light Switch OFF Replace Circuit Plate
" Brightness Does Not Go Out When Starter Is Operated See Figure
Speedometer Does Not Operate While Driving See Figure
" Display Is Faulty Replace Meter Lens
" Vehicle Speed Signal (4P) Faulty See Figure
Tachometer Does Not Operate While Engine Is Running See Figure
" Display Is Faulty Replace Meter Lens
Fuel Gauge Does Not Operate Or Operation Is Abnormal See Figure
Fuel Level Warning Warning Does Not Illuminate Or Always Illuminated See Figure
Engine Coolant Temp. Gauge Does Not Operate Or Operation Is Abnormal See Figure
Odometer & Twin Trip Meter Display Does Not Change While Driving See Figure
Twin Trip Meter Display Is Reset When Ignition Turned Off See Figure
" Abnormal Display Replace Odo & Twin Trip Meter
Outside Air Temp. Display Abnormal Display See Figure
Engine Oil Level Warning Warning Does Not Illuminate See Figure
" Warning Always Illuminated See Figure
Transmission PWR Indicator Abnormal Operation Or Indicator Does Not Illuminate See Figure
CRUISE MAIN Indicator Abnormal Operation Or Indicator Does Not Illuminate See Figure
O/D OFF Indicator Abnormal Operation Or Indicator Does Not Illuminate See Figure
Shift Position Indicator Abnormal Operation Or Indicator Does Not Illuminate See Figure
TRAC OFF Indicator Abnormal Operation Or Indicator Does Not Illuminate See Figure
ABS Warning Abnormal Operation Or Warning Does Not Illuminate See Figure
Hi-Beam Indicator Abnormal Operation Or Indicator Does Not Illuminate See Figure
Turn Signal Indicator Abnormal Operation Or Indicator Does Not Illuminate See Figure
Window Washer Warning Abnormal Operation Or Warning Does Not Illuminate See Figure