LEMON Manuals: Even more car manuals for everyone: 1960-2025
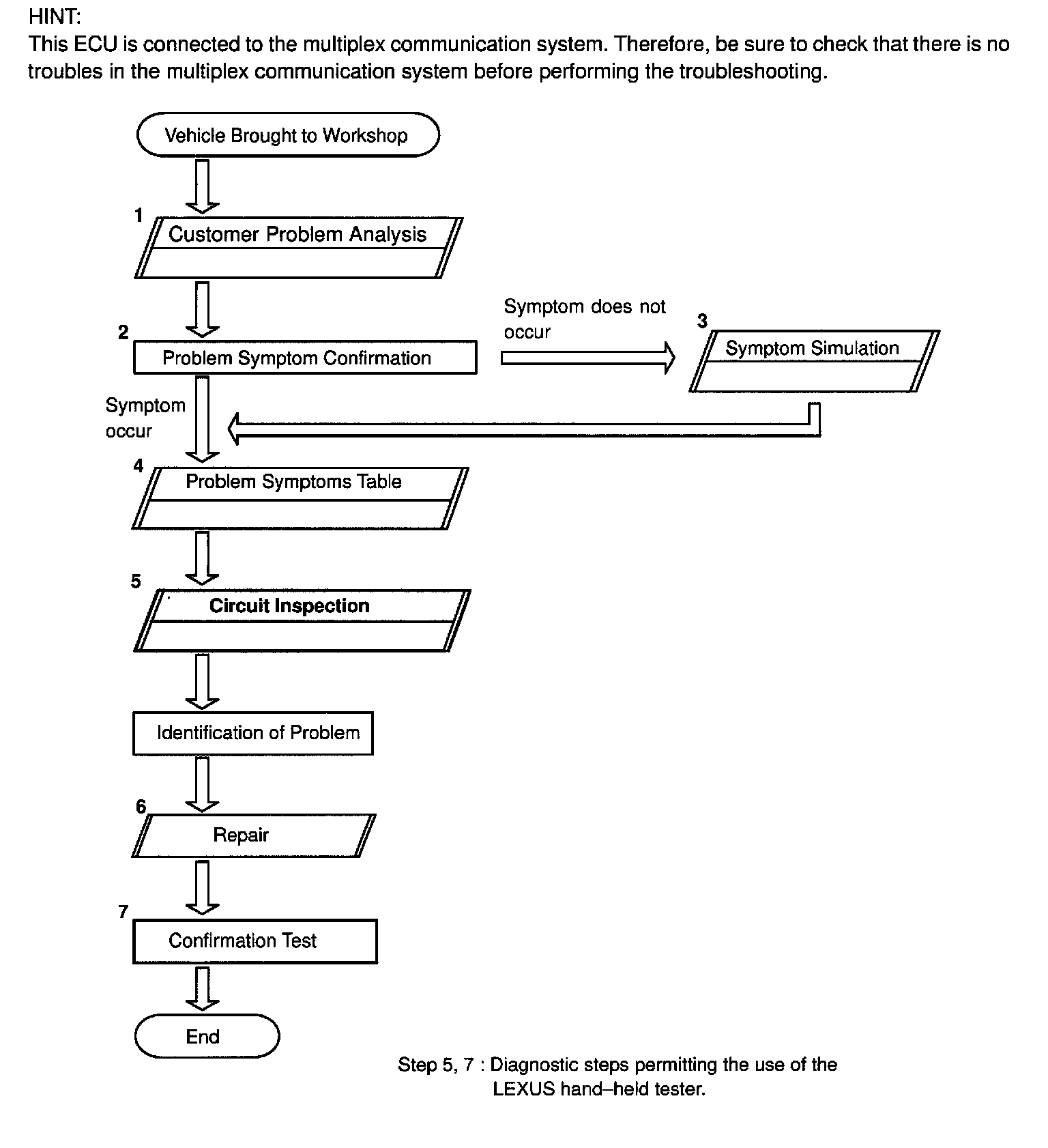
Home >> Lexus >> 2001 >> LS 430 V8-4.3L (3UZ-FE) >> Repair and Diagnosis >> Powertrain Management >> Computers and Control Systems >> Body Control Module >> Testing and Inspection >> Initial Inspection and Diagnostic Overview >> How To Proceed With Troubleshooting >> Body No. 5 Control System
April 5, 2026: LEMON Manuals is launched! Read the announcement.

Body No. 5 Control System