LEMON Manuals: Even more car manuals for everyone: 1960-2025
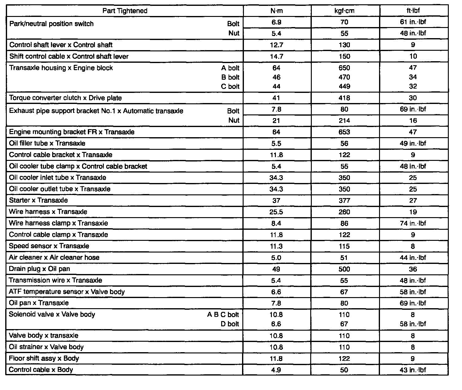
Home >> Lexus >> 2003 >> ES 300 V6-3.0L (1MZ-FE) >> Repair and Diagnosis >> Specifications >> Mechanical Specifications >> Automatic Transmission/Transaxle >> System Specifications >> Torque Specifications
April 5, 2026: LEMON Manuals is launched! Read the announcement.

Torque Specifications