LEMON Manuals: Even more car manuals for everyone: 1960-2025
Home >> Lexus >> 2003 >> GS 300 L6-3.0L (2JZ-GE) >> Repair and Diagnosis >> Specifications >> Mechanical Specifications >> Engine >> System Specifications >> Torque Specifications
April 5, 2026: LEMON Manuals is launched! Read the announcement.

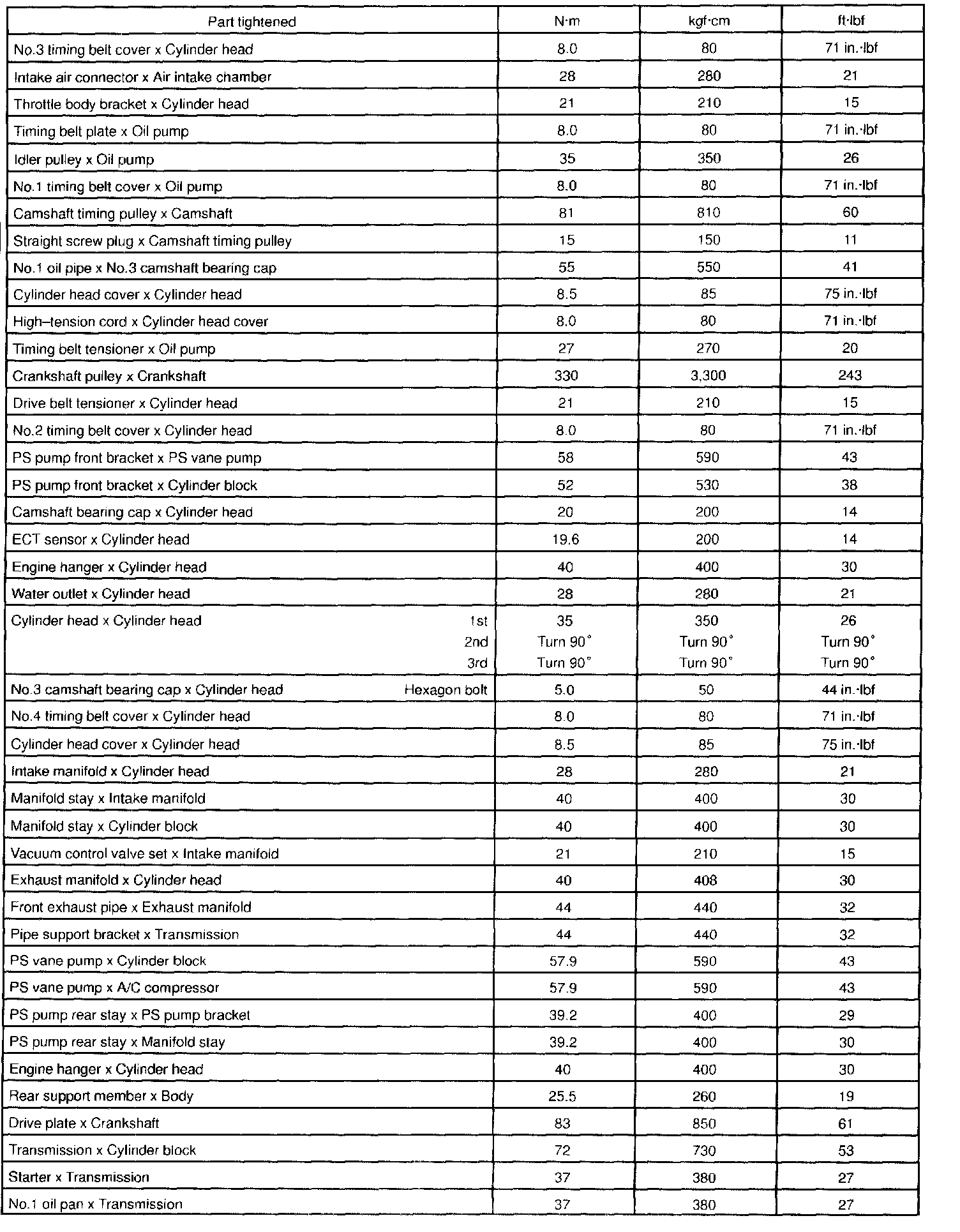
Torque Specifications

ENGINE MECHANICAL

Part 1 Of 2:




Part 2 Of 2:





TORQUE SPECIFICATION