LEMON Manuals: Even more car manuals for everyone: 1960-2025
Home >> Lexus >> 2003 >> GS 430 >> Repair and Diagnosis >> External Pages >> Different car >> Section 421 (Multiplex Communication System - Diagnostics) >> How To Proceed With Troubleshooting
April 5, 2026: LEMON Manuals is launched! Read the announcement.

How To Proceed With Troubleshooting

WARNING: This page is about a different car, the 2005 Lexus GS 430 and 2005 Lexus GS 300. However, it is still accessible from the selected car via links, so may be relevant.

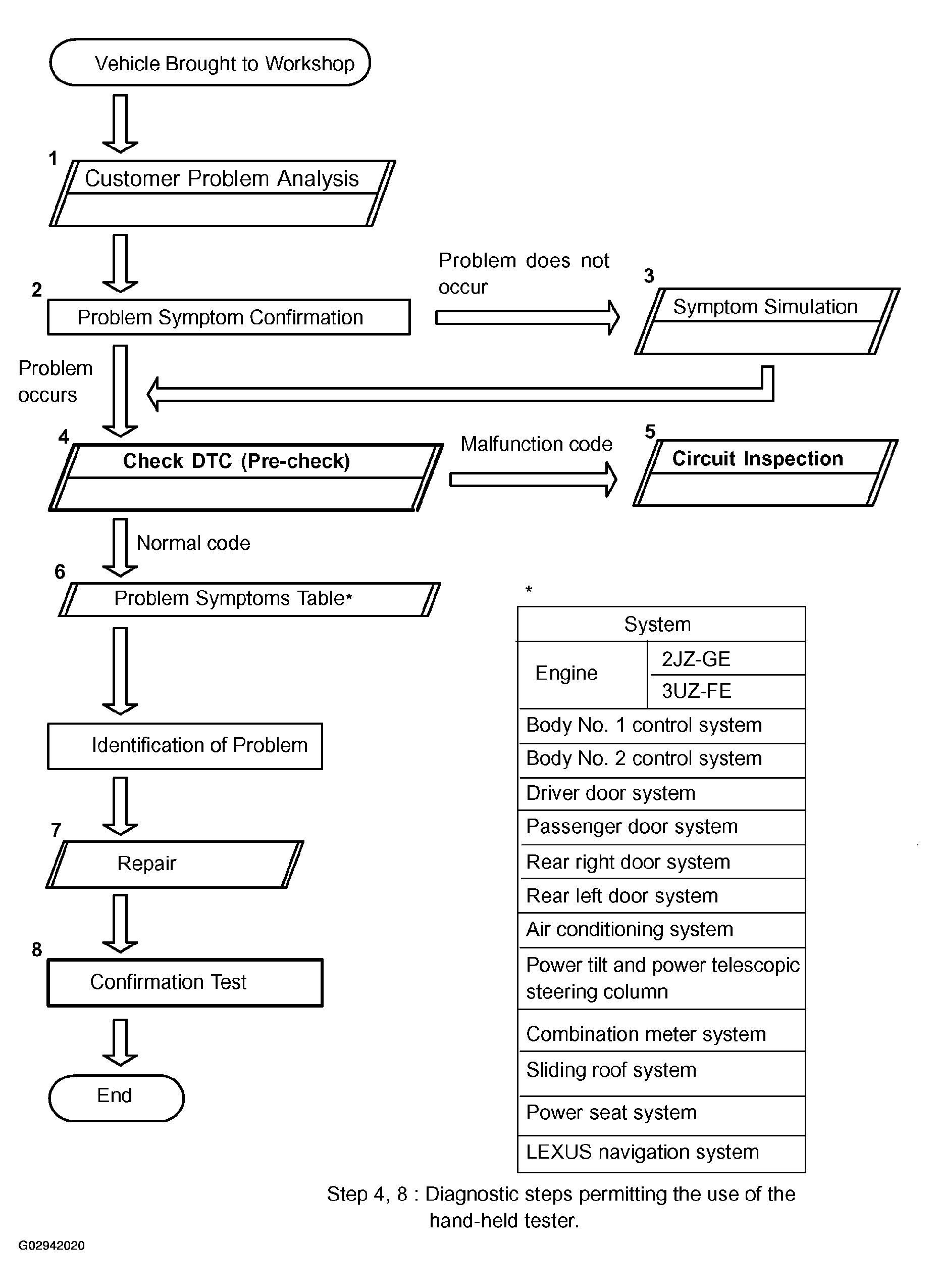
Perform troubleshooting in accordance with the procedure shown in Fig 1 .

Fig 1: Multiplex Communication System Troubleshooting Charts
G02942020Courtesy of © TOYOTA, LICENSE AGREEMENT TMS1002