LEMON Manuals: Even more car manuals for everyone: 1960-2025
Home >> Lexus >> 2003 >> LS 430 V8-4.3L (3UZ-FE) >> Repair and Diagnosis >> Body and Frame >> Locks >> Keyless Entry >> Testing and Inspection >> Programming and Relearning
April 5, 2026: LEMON Manuals is launched! Read the announcement.

Programming and Relearning

WIRELESS DOOR LOCK CONTROL SYSTEM

REGISTRATION PROCEDURE

1. HOW TO CODE REGISTRATION

NOTE: When replacing the theft deterrent ECU or transmitter, registration of recognition code is necessary because they are provided as a single components.

a. Select the operation mode to perform from the following operation modes.
- Add mode
- Rewrite mode
- Prohibition mode
- Confirmation mode

HINT:
- The "Add mode" is for adding the newly recognized codes for registration while the already registered codes are retained. This mode is used when the transmitter is added. When the number of the registered codes exceeds 4 codes, the previously registered codes will be erased in order, staring from the first registered code.
- The "Rewrite mode" is for erasing all the registered codes and registering newly recognized codes only. This mode is used when the transmitter or the door control receiver is replaced.
- The "Prohibition mode" is for erasing all the registered codes to prohibit the wireless door lock operation. This mode is used when the transmitter is lost.
- The "Confirmation mode" is for confirming the number of recognition codes that are registered. This mode is used to check the number of registered codes when new codes are added to the registration, etc.

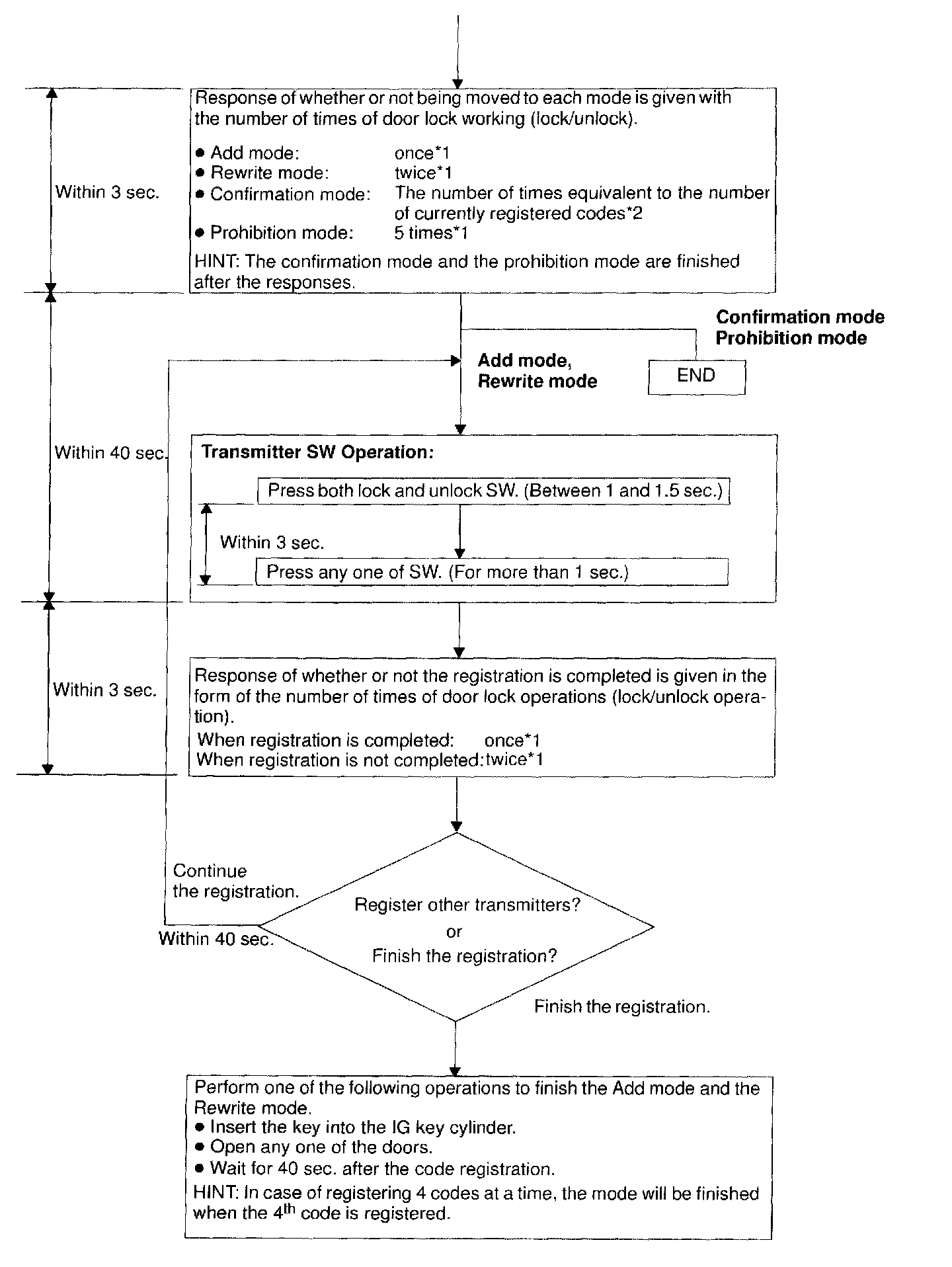
b. Follow the chart to register the transmitter recognition code to the theft deterrent ECU.

HINT:
- When procedure is out of the specified, the registration operation is cancelled.
- Maximum 4 recognition codes can be registered.




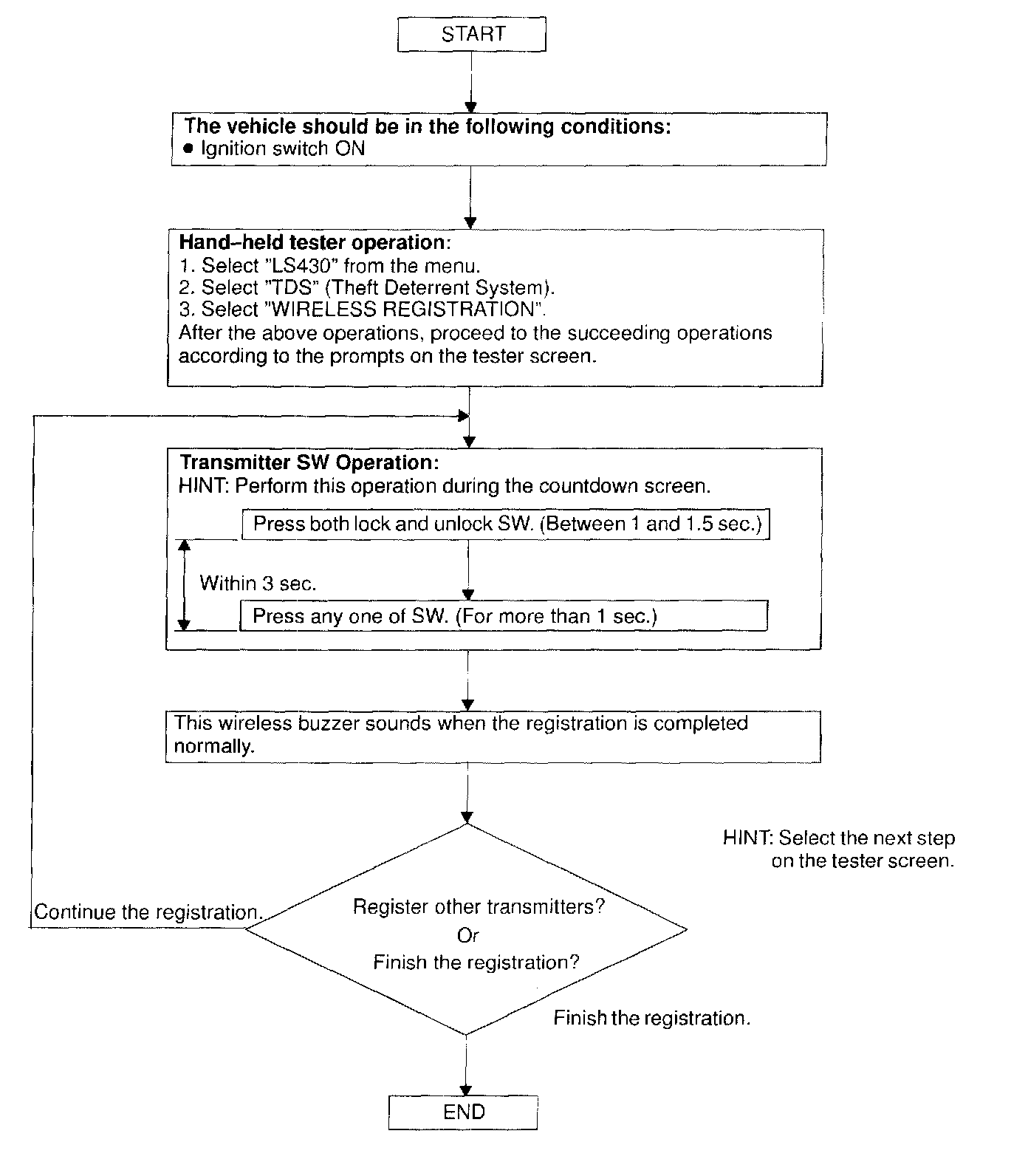
c. By LEXUS Hand-Held Tester

HINT: This is to show briefly the registration procedure using the hand-held tester.
For detailed procedures, please refer to the prompts on the tester screen.
The number of currently registered codes can be checked out on the first screen of the WIRELESS REGISTRATION.

Part 1:




Part 2:




Part 3:




d. By Switch Operation: