LEMON Manuals: Even more car manuals for everyone: 1960-2025
Home >> Lexus >> 2003 >> LS 430 V8-4.3L (3UZ-FE) >> Repair and Diagnosis >> Specifications >> Mechanical Specifications >> Powertrain Management >> System Specifications
April 5, 2026: LEMON Manuals is launched! Read the announcement.

System Specifications

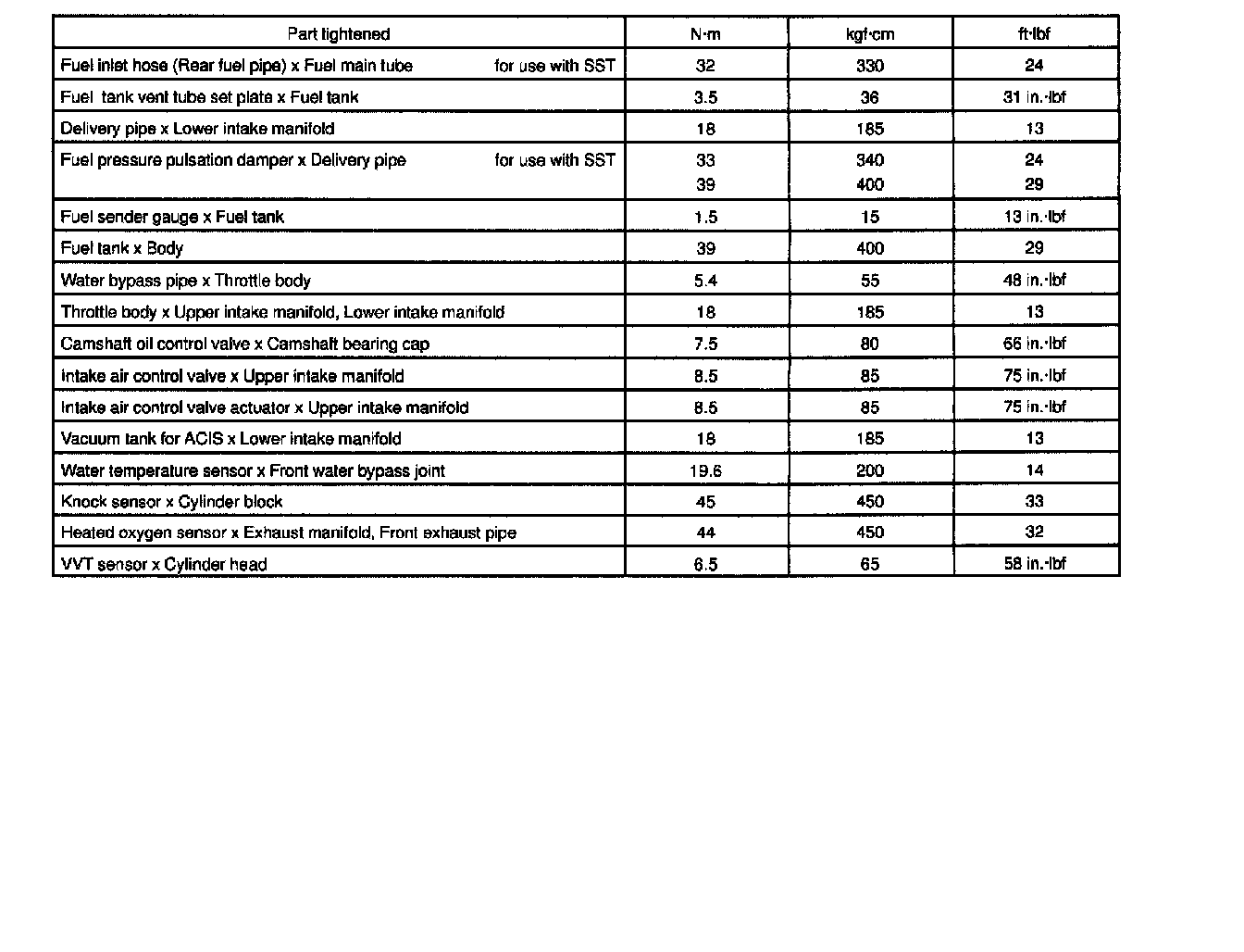
SFI





TORQUE SPECIFICATION