LEMON Manuals: Even more car manuals for everyone: 1960-2025
Home >> Lexus >> 2003 >> LS 430 >> Repair and Diagnosis >> External Pages >> Different car >> Section 188 (Remote Keyless Entry) >> Trouble Shooting >> Pre-Check
April 5, 2026: LEMON Manuals is launched! Read the announcement.

Trouble Shooting: Pre-Check

WARNING: This page is about a different car, the 2003 Lexus RX 300 and 2002 Lexus RX 300. However, it is still accessible from the selected car via links, so may be relevant.

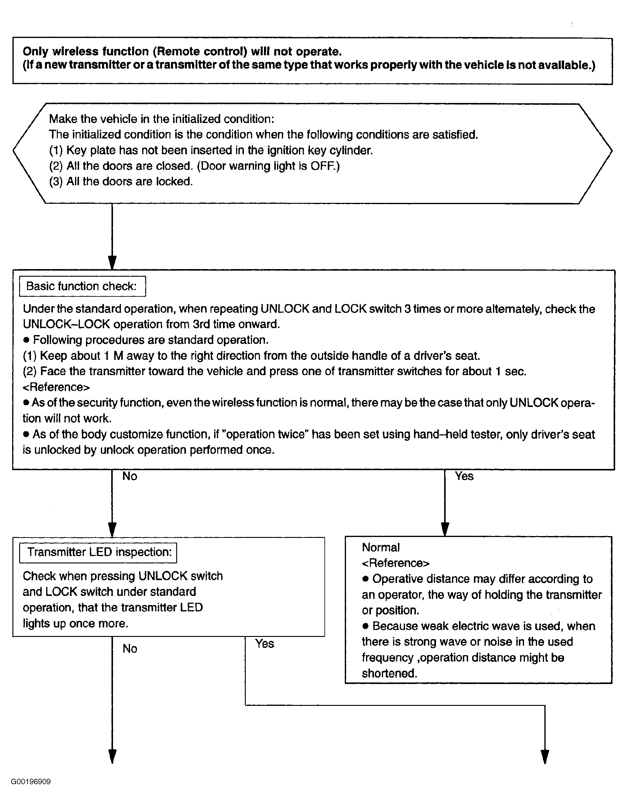
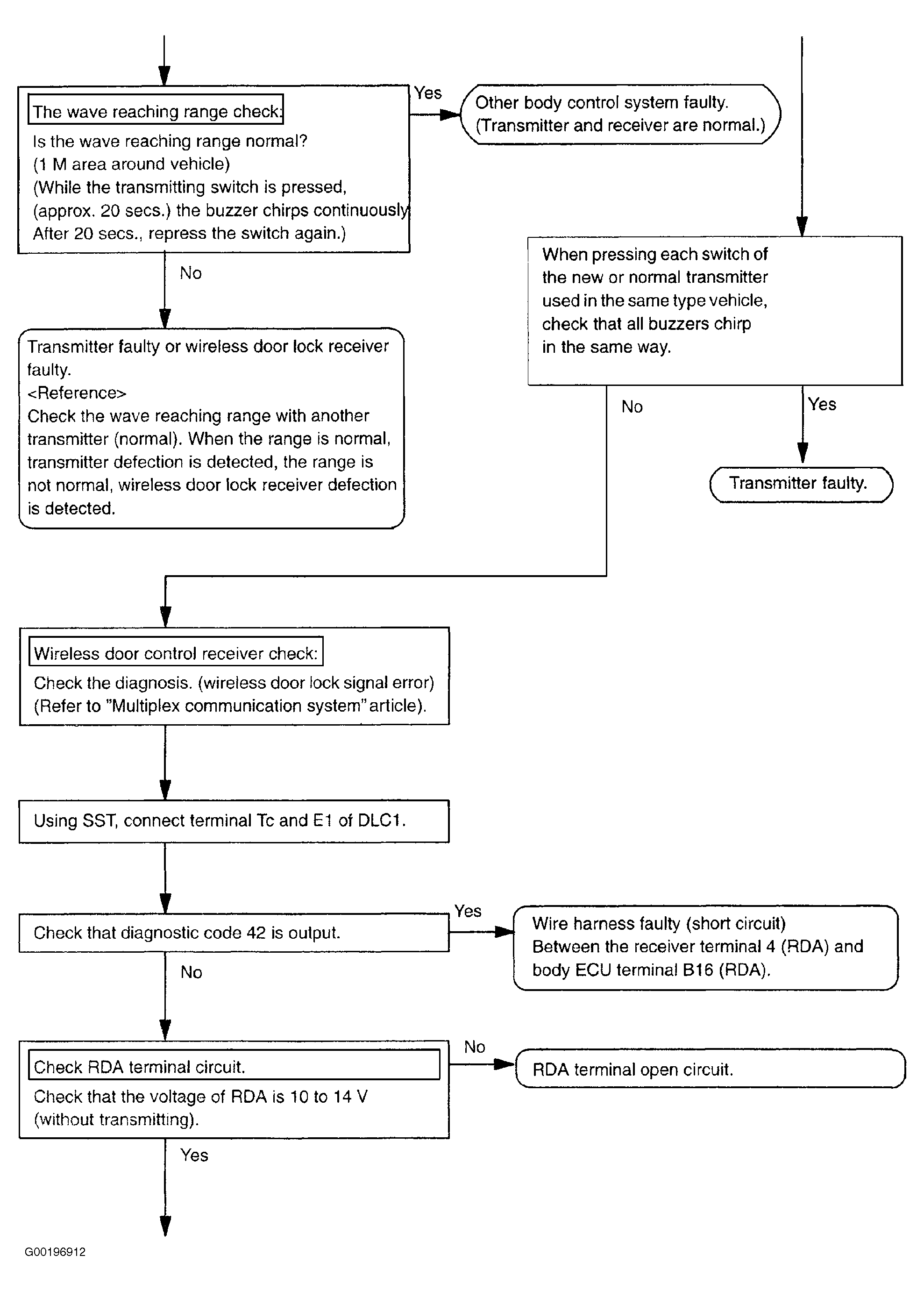
For pre-check, refer to the flowcharts. See Fig 1-Fig 5 .

Fig 1: Identifying Wireless Function Pre-Check Flowchart (1 Of 5)
G00196909Courtesy of © TOYOTA, LICENSE AGREEMENT TMS1002
Fig 2: Identifying Wireless Function Pre-Check Flowchart (2 Of 5)
G00196910Courtesy of © TOYOTA, LICENSE AGREEMENT TMS1002
Fig 3: Identifying Wireless Function Pre-Check Flowchart (3 Of 5)
G00196911Courtesy of © TOYOTA, LICENSE AGREEMENT TMS1002
Fig 4: Identifying Wireless Function Pre-Check Flowchart (4 Of 5)
G00196912Courtesy of © TOYOTA, LICENSE AGREEMENT TMS1002
Fig 5: Identifying Wireless Function Pre-Check Flowchart (5 Of 5)
G00196913Courtesy of © TOYOTA, LICENSE AGREEMENT TMS1002