LEMON Manuals: Even more car manuals for everyone: 1960-2025
Home >> Lexus >> 2003 >> LS 430 >> Repair and Diagnosis >> External Pages >> Different car >> Section 208 (Wheel Alignment Specifications & Adjustment Procedures) >> AVALON >> Procedures >> Rear Wheel Alignment
April 5, 2026: LEMON Manuals is launched! Read the announcement.

Rear Wheel Alignment

WARNING: This page does not describe the selected car, but rather 16 other vehicles, including the 2002 Toyota Tundra, 2002 Toyota Tacoma, 2002 Toyota Sienna, 2002 Toyota Sequoia, and 2002 Toyota RAV4. However, it is still accessible from the selected car via links, so may be relevant.
  1. Measure vehicle height (see step   MEASURE VEHICLE HEIGHT  .
  2. Install camber/caster/kingpin gauge or position vehicle on wheel alignment tester  .
    1. Follow the specific instructions of the equipment manufacturer.
  3. Inspect camber  .
    1. Camber:
      Fig 1: Identifying Camber Specifications
      G01102629Courtesy of © TOYOTA, LICENSE AGREEMENT TMS1002

      If the measured value is not within the specified value, inspect the suspension parts for damage and/or wear and replace them if necessary because camber is not adjustable.

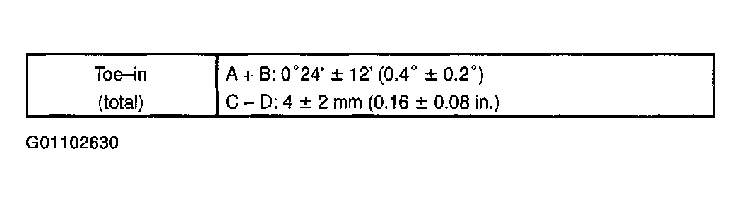
  4. Inspect toe-in  .
      Fig 2: Identifying Toe-in Measurement Points
      G01102631Courtesy of © TOYOTA, LICENSE AGREEMENT TMS1002
    1. Toe-in:
      Fig 3: Identifying Toe-In Specifications
      G01102630Courtesy of © TOYOTA, LICENSE AGREEMENT TMS1002

      If the toe-in is not within the specified value, adjust it at the No. 2 lower suspension arm.

  5. Adjust toe-in  .
    1. Measure the lengths of the right and left No. 2 lower suspension arms.
      Fig 4: Measuring Lower Suspension Arm No. 2 Length
      G01102632Courtesy of © TOYOTA, LICENSE AGREEMENT TMS1002
      1. No. 2 lower suspension arm length difference: 

        1 mm (0.04 in.) or less 

      2. If the right-left difference is greater than the specified value, adjust the length.
    2. Loosen the lock nuts.
      Fig 5: Loosening Lock Nuts
      G01102633Courtesy of © TOYOTA, LICENSE AGREEMENT TMS1002
    3. Turn the right and left adjusting tube by an equal amount to adjust toe-in.
      NOTE:
      • Try to adjust the toe-in to the center value.
      • One turn of the each adjusting tube will adjust the toe-in by about 36' (0.6°, 6.7 mm, 0.264 in.).
    4. Torque the lock nuts.
      1. Torque: 56 N.m (570 kgf.cm, 41 ft.lbf)