LEMON Manuals: Even more car manuals for everyone: 1960-2025
Home >> Lexus >> 2003 >> SC 430 >> Repair and Diagnosis >> External Pages >> Different car >> Section 446 (Wireless Door Lock Control System) >> Registration Procedure >> How To Code Registration
April 5, 2026: LEMON Manuals is launched! Read the announcement.

How To Code Registration

WARNING: This page is about a different car, the 2003 Lexus LS 430. However, it is still accessible from the selected car via links, so may be relevant.
NOTE: When replacing the theft deterrent ECU or transmitter, registration of recognition code is necessary because they are provided as a single components.
  1. Select the operation mode to perform from the following operation modes.
    • Add mode
    • Rewrite mode
    • Prohibition mode
    • Confirmation mode

      HINT:

      • The "Add mode" is for adding the newly recognized codes for registration while the already registered codes are retained. This mode is used when the transmitter is added. When the number of the registered codes exceeds 4 codes, the previously registered codes will be erased in order, staring from the first registered code.
      • The "Rewrite mode" is for erasing all the registered codes and registering newly recognized codes only. This mode is used when the transmitter or the door control receiver is replaced.
      • The "Prohibition mode" is for erasing all the registered codes to prohibit the wireless door lock operation. This mode is used when the transmitter is lost.
      • The "Confirmation mode" is for confirming the number of recognition codes that are registered. This mode is used to check the number of registered codes when new codes are added to the registration, etc.
  2. Follow the chart in the following graphic to register the transmitter recognition code to the theft deterrent ECU.

    HINT:

    • When procedure is out of the specified, the registration operation is cancelled.
    • Maximum 4 recognition codes can be registered.
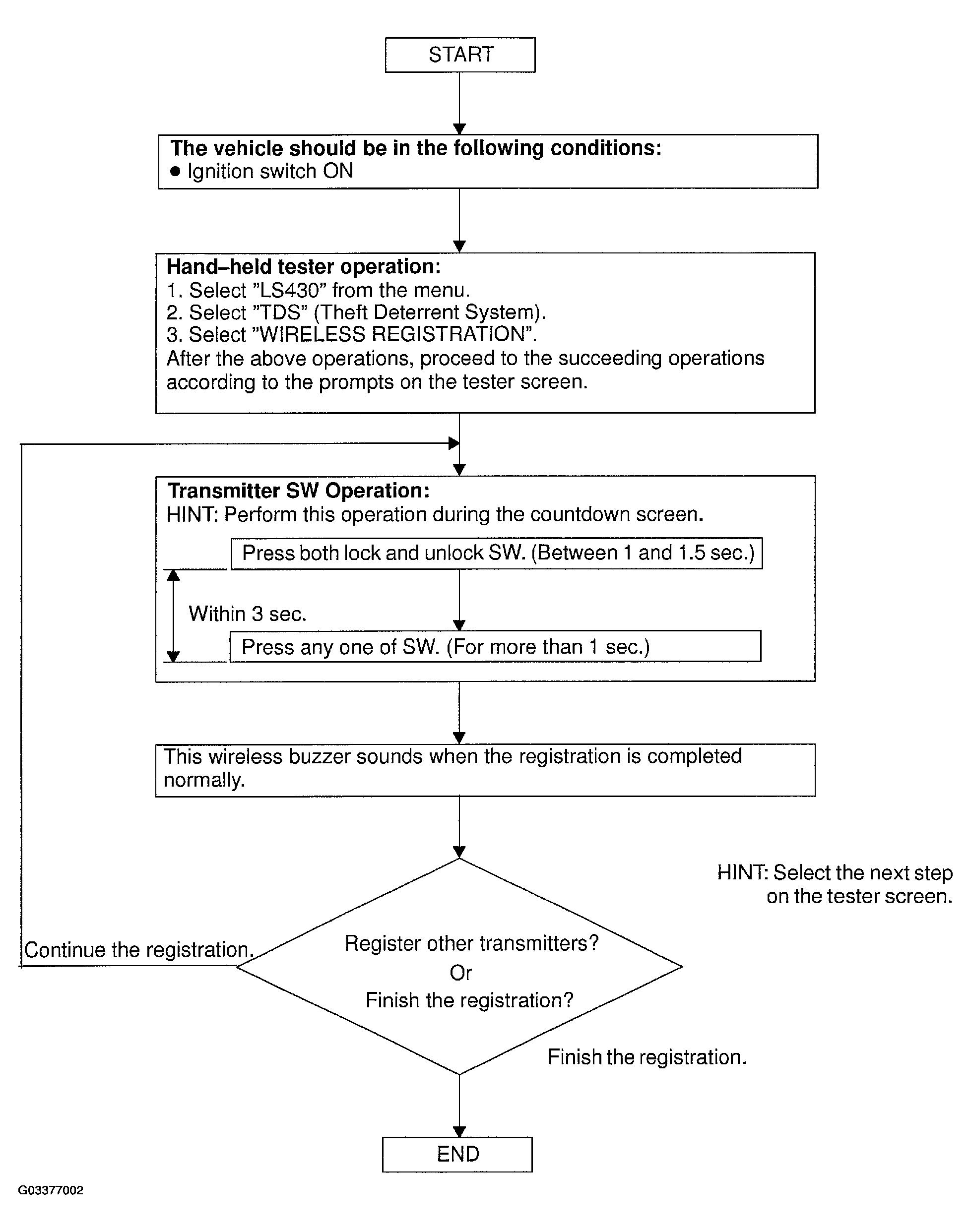
  3. By LEXUS Hand-Held Tester
    Fig 1: Registration Procedure Flow Chart By Lexus Hand-Held Tester
    G03377002Courtesy of © TOYOTA, LICENSE AGREEMENT TMS1002

    HINT:

    Fig 1 is to show briefly the registration procedure using the hand-held tester.

    For detailed procedures, please refer to the prompts on the tester screen.

    The number of currently registered codes can be checked out on the first screen of the WIRELESS REGISTRATION.

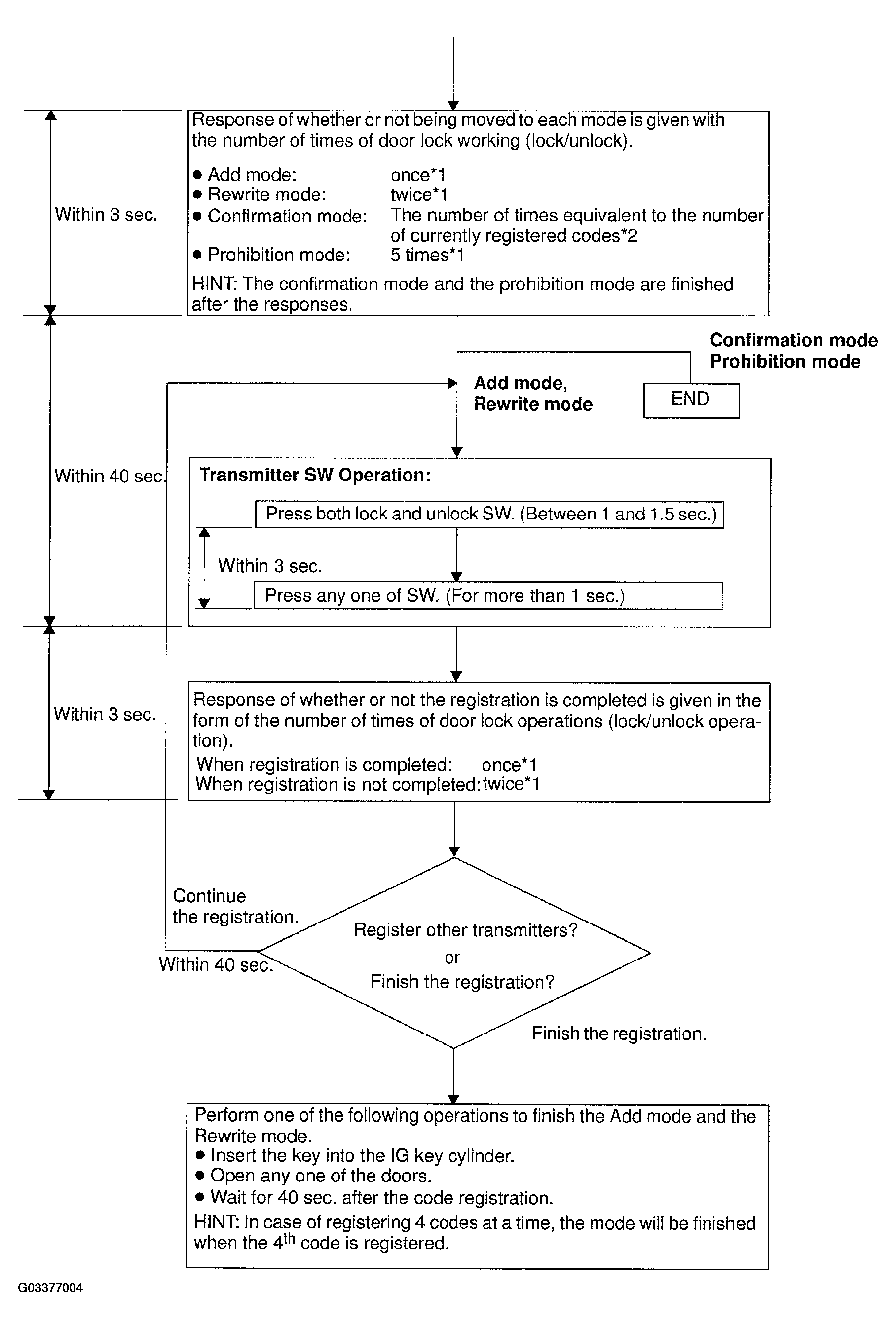
  4. By Switch Operation:
    Fig 2: Registration Procedure Flow Chart By Switch Operation (1 Of 2)
    G03377003Courtesy of © TOYOTA, LICENSE AGREEMENT TMS1002
    Fig 3: Registration Procedure Flow Chart By Switch Operation (2 Of 2)
    G03377004Courtesy of © TOYOTA, LICENSE AGREEMENT TMS1002

    HINT:

    Operation cycle of the door lock (lock/unlock operation)

    Fig 4: Operation Cycle Of Door Lock (Lock/Unlock Operation) Graph
    G03377005Courtesy of © TOYOTA, LICENSE AGREEMENT TMS1002