LEMON Manuals: Even more car manuals for everyone: 1960-2025
Home >> Lexus >> 2005 >> ES 330 >> Repair and Diagnosis >> External Pages >> Different car >> Section 116 (Service Specifications) >> Engine Lubrication System >> Torque Specification
April 5, 2026: LEMON Manuals is launched! Read the announcement.

Torque Specification

WARNING: This page is about a different car, the 2005 Toyota Sienna. However, it is still accessible from the selected car via links, so may be relevant.
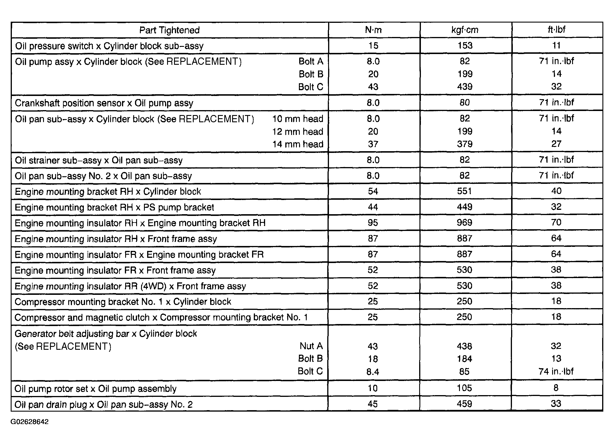
Fig 1: Lubrication Torque Specification Table
G02628642Courtesy of © TOYOTA, LICENSE AGREEMENT TMS1002
Lubrication Torque Specification

Part Tightened N.m kgf.cm ft.lbf
Oil pressure switch x Cylinder block sub-assy 15 153 11
Oil pump assy x Cylinder block (See REPLACEMENT) Bolt A 8.0 82 71 in.lbf
Bolt B 20 199 14
Bolt C 43 439 32
Crankshaft position sensor x Oil pump assy 8.0 80 71 in..lbf
Oil pan sub-assy x Cylinder block (See REPLACEMENT) 10 mm head 8.0 82 71 in..lbf
12 mm head 20 199 14
14 mm head 37 379 27
Oil strainer sub-assy x Oil pan sub-assy 8.0 82 71 in..lbf
Oil pan sub-assy No. 2 x Oil pan sub-assy 8.0 82 71 in..lbf
Engine mounting bracket RH x Cylinder block 54 551 40
Engine mounting bracket RH x PS pump bracket 44 449 32
Engine mounting insulator RH x Engine mounting bracket RH 95 969 70
Engine mounting insulator RH x Front frame assy 87 887 64
Engine mounting insulator FR x Engine mounting bracket FR 87 887 64
Engine mounting insulator FR x Front frame assy 52 530 38
Engine mounting insulator RR (4WD) x Front frame assy 52 530 38
Compressor mounting bracket No. 1 x Cylinder block 25 250 18
Compressor and magnetic clutch x Compressor mounting bracket No. 1 25 250 18
Generator belt adjusting bar x Cylinder block      
(See REPLACEMENT) Nut A 43 438 32
Bolt B 18 184 13
Bolt C 8.4 85 74 in.lbf
Oil pump rotor set x Oil pump assembly 10 105 8
Oil pan drain plug x Oil pan sub-assy No. 2 45 459 33