LEMON Manuals: Even more car manuals for everyone: 1960-2025
Home >> Lexus >> 2008 >> LS 460 V8-4.6L (1UR-FSE) >> Repair and Diagnosis >> Specifications >> Mechanical Specifications >> Automatic Transmission/Transaxle >> System Specifications >> Service Data
April 5, 2026: LEMON Manuals is launched! Read the announcement.

Service Data








SERVICE SPECIFICATIONS: AA80E AUTOMATIC TRANSMISSION: SERVICE DATA

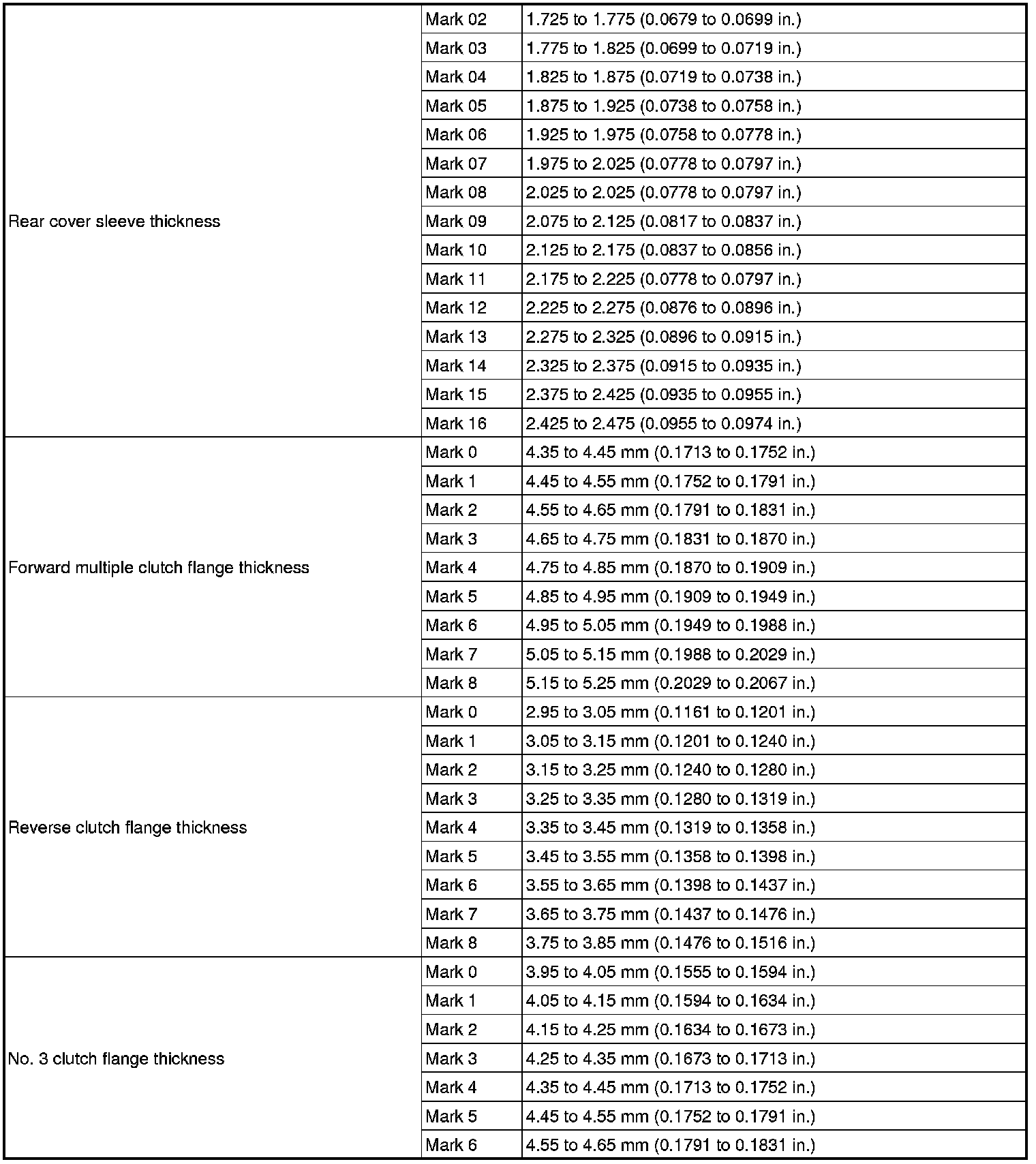
SERVICE DATA

AUTOMATIC TRANSMISSION ASSEMBLY









NOTICE:
- All shift point values indicated in the above tables are actual values. Therefore, if checking a shift point with a chassis dynamometer, keep in mind that there is a range of error in the chassis dynamometer indication.
- If checking a shift point against the speed indicated on the speedometer, remember to consider the speedometer correction rate and range of error in the tester indication.

AUTOMATIC TRANSMISSION UNIT













OIL PUMP