LEMON Manuals: Even more car manuals for everyone: 1960-2025
Home >> Lexus >> 2008 >> RX 400h AWD >> Repair and Diagnosis >> External Pages >> Different car >> Section 45 (Navigation) >> Navigation System >> Microphone Circuit between Overhead Junction Block and Multi-display >> Wiring Diagram
April 5, 2026: LEMON Manuals is launched! Read the announcement.

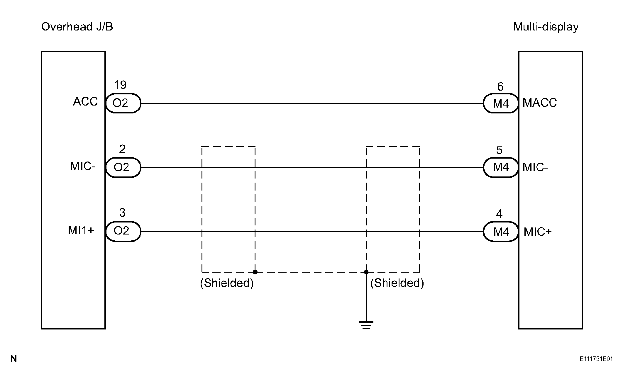
Microphone Circuit between Overhead Junction Block and Multi-display: Wiring Diagram

WARNING: This page is about a different car, the 2006 Lexus RX 400h. However, it is still accessible from the selected car via links, so may be relevant.
Fig 1: Microphone Circuit Between Overhead J/B And Multi-Display - Wiring Diagram
G04115889Courtesy of © TOYOTA, LICENSE AGREEMENT TMS1002
  1. INSPECT MULTI-DISPLAY 
    1. Measure the voltage according to the value(s) in the table below.

      Voltage 

      ECU CONNECTOR TERMINAL VOLTAGE SPECIFICATION

      Tester connection Condition Specified condition
      MACC - Body ground Ignition SW ACC 4 to 6 V

    NG: REPLACE MULTI-DISPLAY 

    Fig 2: Identifying Connector M4
    G04115890Courtesy of © TOYOTA, LICENSE AGREEMENT TMS1002

    OK: GO TO NEXT STEP. 

  2. CHECK HARNESS AND CONNECTOR (OVERHEAD J/B - MULTI-DISPLAY) 
    1. Disconnect the overhead J/B connector O2 and multi-display connector M4.
    2. Measure the resistance according to the value(s) in the table below.

      Resistance 

      ECU CONNECTOR TERMINAL RESISTANCE SPECIFICATION

      Tester connection Condition Specified condition
      ACC - MACC Always Below 1 Ω
      MI1+ - MIC+ Always Below 1 Ω
      MIC- - MIC- Always Below 1 Ω
      ACC - Body ground Always 10 kΩ or higher
      MI1+ - Body ground Always 10 kΩ or higher
      MIC- - Body ground Always 10 kΩ or higher

    NG: REPAIR OR REPLACE HARNESS OR CONNECTOR 

    Fig 3: Identifying Overhead J/B Connector O2 And Multi-Display Connector M4
    G04115891Courtesy of © TOYOTA, LICENSE AGREEMENT TMS1002

    OK: RETURN TO THE ORIGINAL INSPECTION FLOW BECAUSE THE CHECK RESULT IS NORMAL