LEMON Manuals: Even more car manuals for everyone: 1960-2025
Home >> Lexus >> 2010 >> ES 350 V6-3.5L (2GR-FE) >> Repair and Diagnosis >> Powertrain Management >> Computers and Control Systems >> Technical Service Bulletins >> All Technical Service Bulletins >> Engine Controls - A/F And O2 Sensor Identification
April 5, 2026: LEMON Manuals is launched! Read the announcement.

Engine Controls - A/F And O2 Sensor Identification

L-SB-0188-09

December 23, 2009

Engine Bank 1 and Bank 2 A/F and 02 Identification

Service Category
Engine/Hybrid System

Section
Engine Control





Applicability

TSIB SUPERSESSION NOTICE

The information contained in this TSIB supersedes TSIB No. EG015-07.

^ Applicability has been updated to include 2009 - 2010 model year vehicles.

TSIB No. EG015-07 is Obsolete and any printed versions should be discarded. Be sure to review the entire content of this service bulletin before proceeding.

Introduction

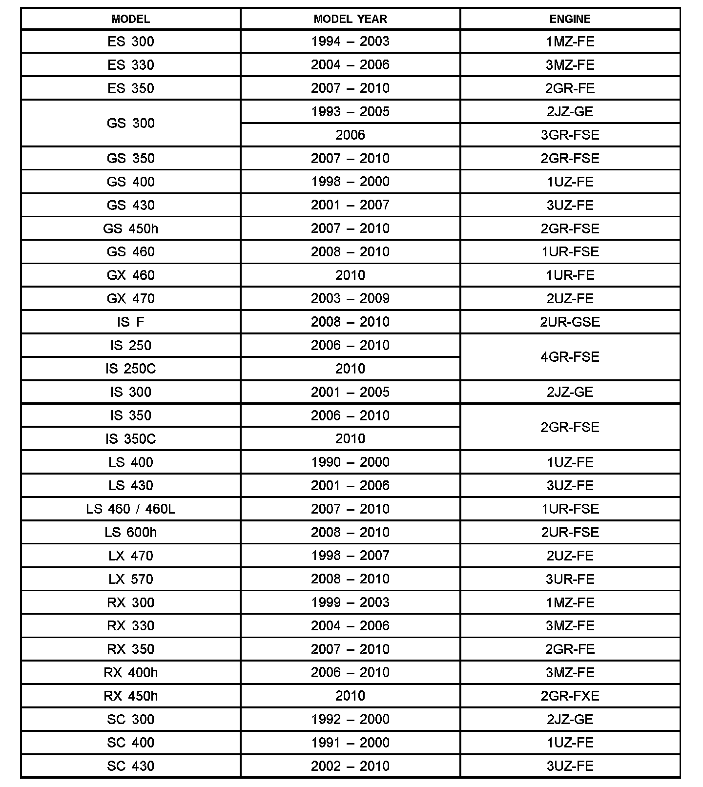
This service bulletin provides information on the proper identification of engine bank 1 and engine bank 2 for correct A/F sensor and oxygen sensor replacement.

This bulletin contains information that identifies engine bank 1 and engine bank 2 on the following engines:

2GR-FE, 2GR-FSE, 2GR-FXE 3GR-FSE, 4GR-FSE 2JZ-GE, 1MZ-FE, 3MZ-FE, 1UR-FE, 1UR-FSE, 2UR-FSE, 2UR-GSE, 3UR-FE, 1UZ-FE, 2UZ-FE, and 3UZ-FE

^ Bank 1 (B1) refers to the bank that includes cylinder No. 1.

^ Bank 2 (B2) refers to the bank opposite bank 1.

^ Sensor 1 (S1) refers to the sensor that is located before the catalytic converters.

^ Sensor 2 (S2) refers to the sensor that is located after the catalytic converters.





Warranty Information





Applicable Vehicles








Engine Bank Identification





A/F and 02 Sensor Identification