LEMON Manuals: Even more car manuals for everyone: 1960-2025
Home >> Mazda >> 1994 >> 929 >> Repair and Diagnosis >> Engine Performance >> System >> Engine Controls - Tests W/Codes >> Trouble Code Charts >> Code 17 & 24: (Left/Right Side Feedback System)
April 5, 2026: LEMON Manuals is launched! Read the announcement.

Code 17 & 24: (Left/Right Side Feedback System)

Fig 1: Trouble Code No. 17/24 Diagnostic Chart - 1 Of 2 (L/R Side Feedback System)
G92J27432Courtesy of MAZDA MOTORS CORP.
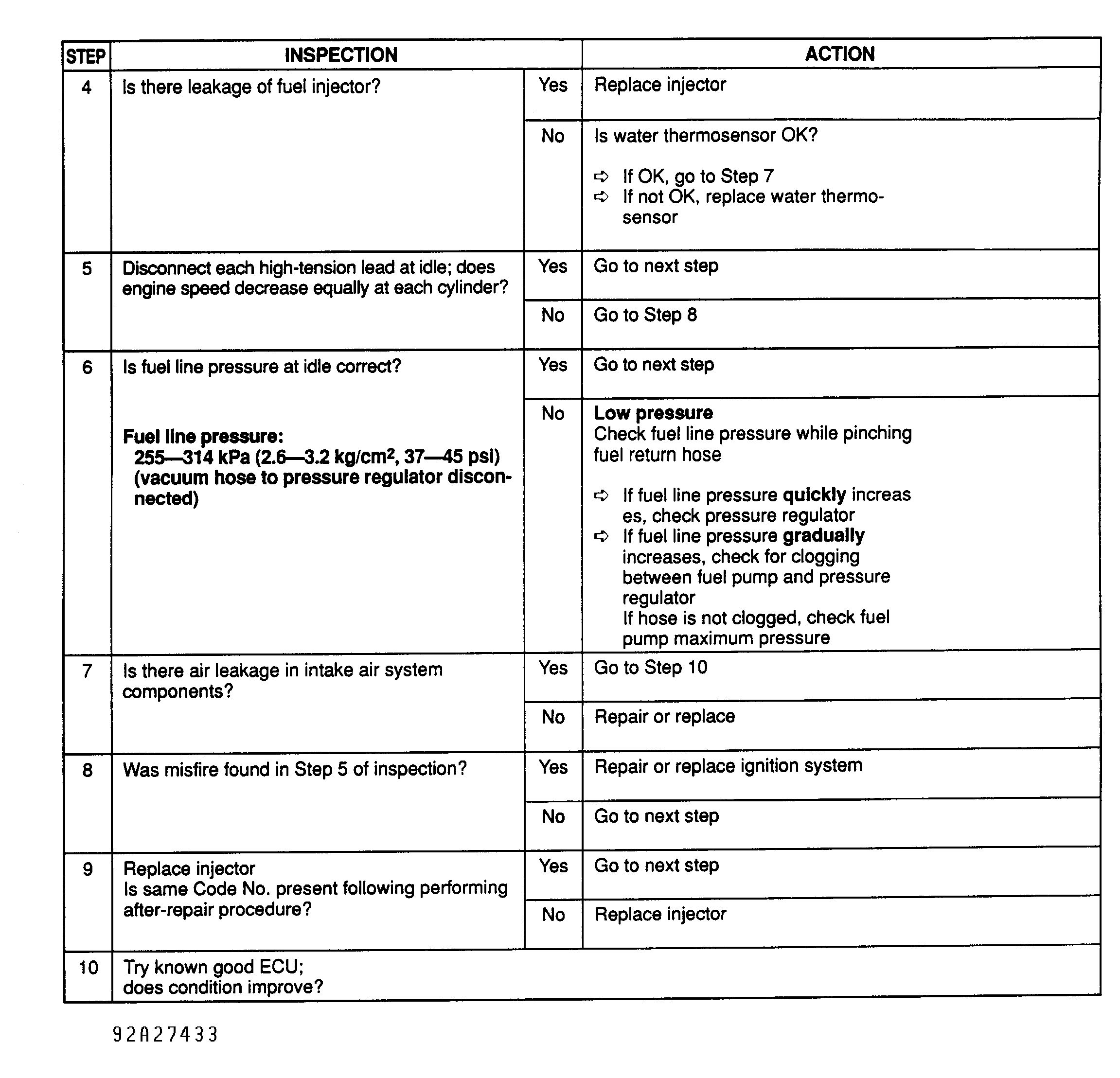
Fig 2: Trouble Code No. 17/24 Diagnostic Chart - 2 Of 2 (L/R Side Feedback System)
G92A27433Courtesy of MAZDA MOTORS CORP.