LEMON Manuals: Even more car manuals for everyone: 1960-2025
Home >> Mazda >> 2003 >> MPV LX >> Repair and Diagnosis (Single Page) >> Body & Frame >> Door Locks >> Security System And Locks System >> Keyless Control Module Id Code Change
April 5, 2026: LEMON Manuals is launched! Read the announcement.

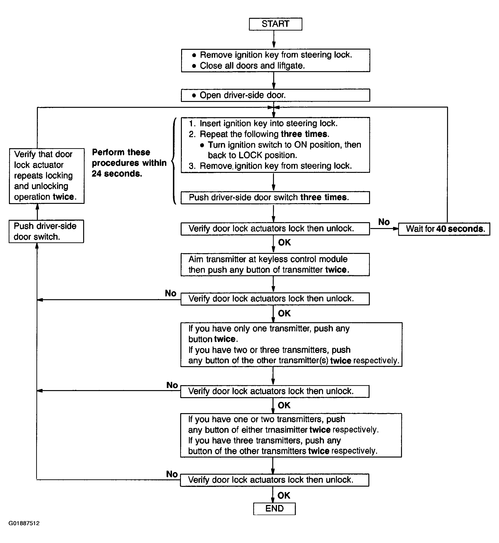
Keyless Control Module Id Code Change