LEMON Manuals
: Even more car manuals for everyone: 1960-2025
Home
>>
Mazda
>>
2003
>>
Protege ES, Standard
>>
Repair and Diagnosis (Single Page)
>>
Accessories & Equipment
>>
Anti-Theft Systems
>>
Security System And Locks System
>>
Keyless Control Module Id Code Change
April 5, 2026:
LEMON Manuals is launched!
Read the announcement.
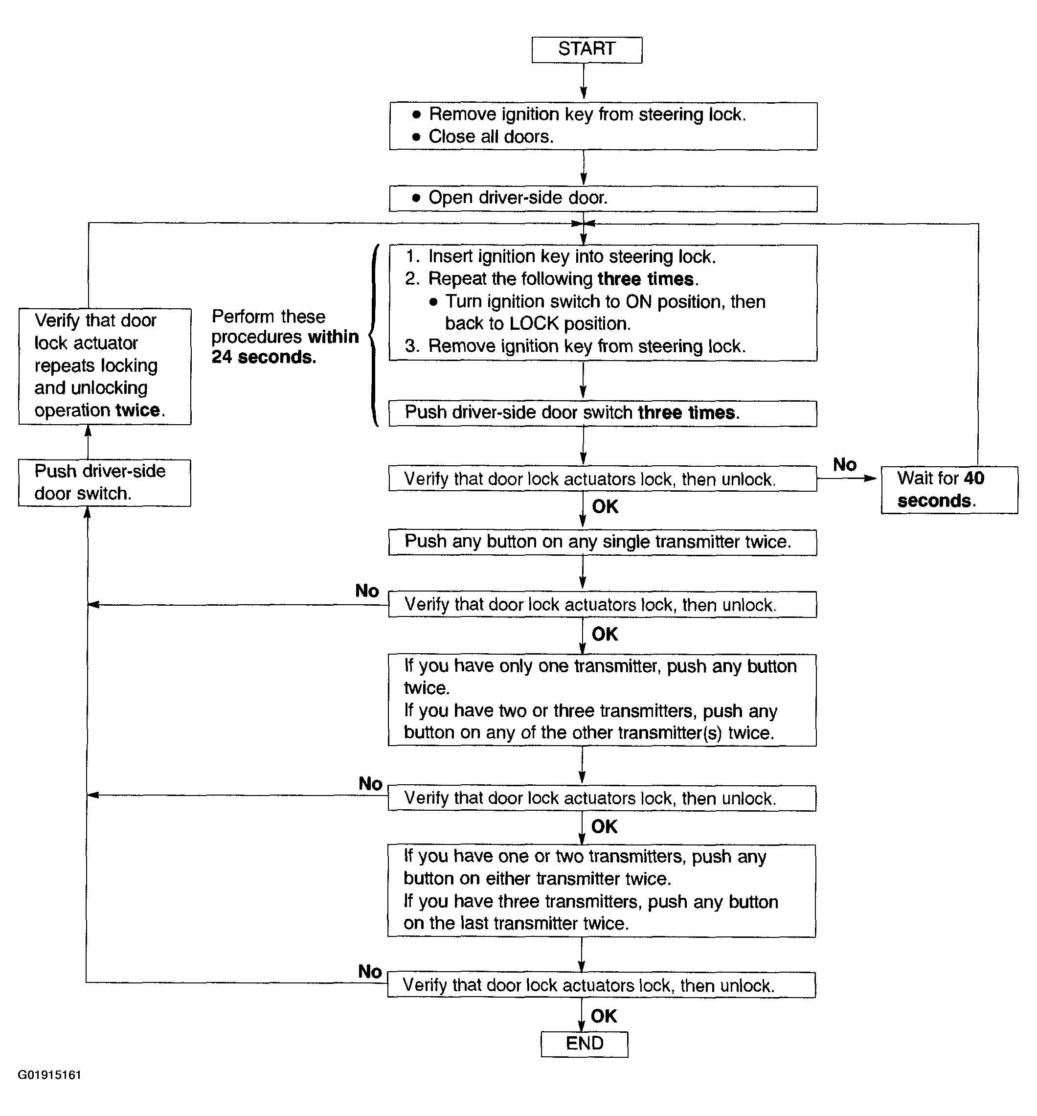
Keyless Control Module Id Code Change
When programming the ID code into a transmitter, verify that other transmitters are not being operated in the vicinity.
Program the ID code as indicated in the procedure.
Fig 1: Keyless Control Module ID Code Checking Flow Chart
Courtesy of MAZDA MOTORS CORP.