LEMON Manuals
: Even more car manuals for everyone: 1960-2025
Home
>>
Mazda
>>
2004
>>
MPV LX
>>
Repair and Diagnosis (Single Page)
>>
General Information
>>
OEM General Information
>>
Range Of Topics
>>
Procedures For Use
>>
Using The DTC Troubleshooting Flow
April 5, 2026:
LEMON Manuals is launched!
Read the announcement.
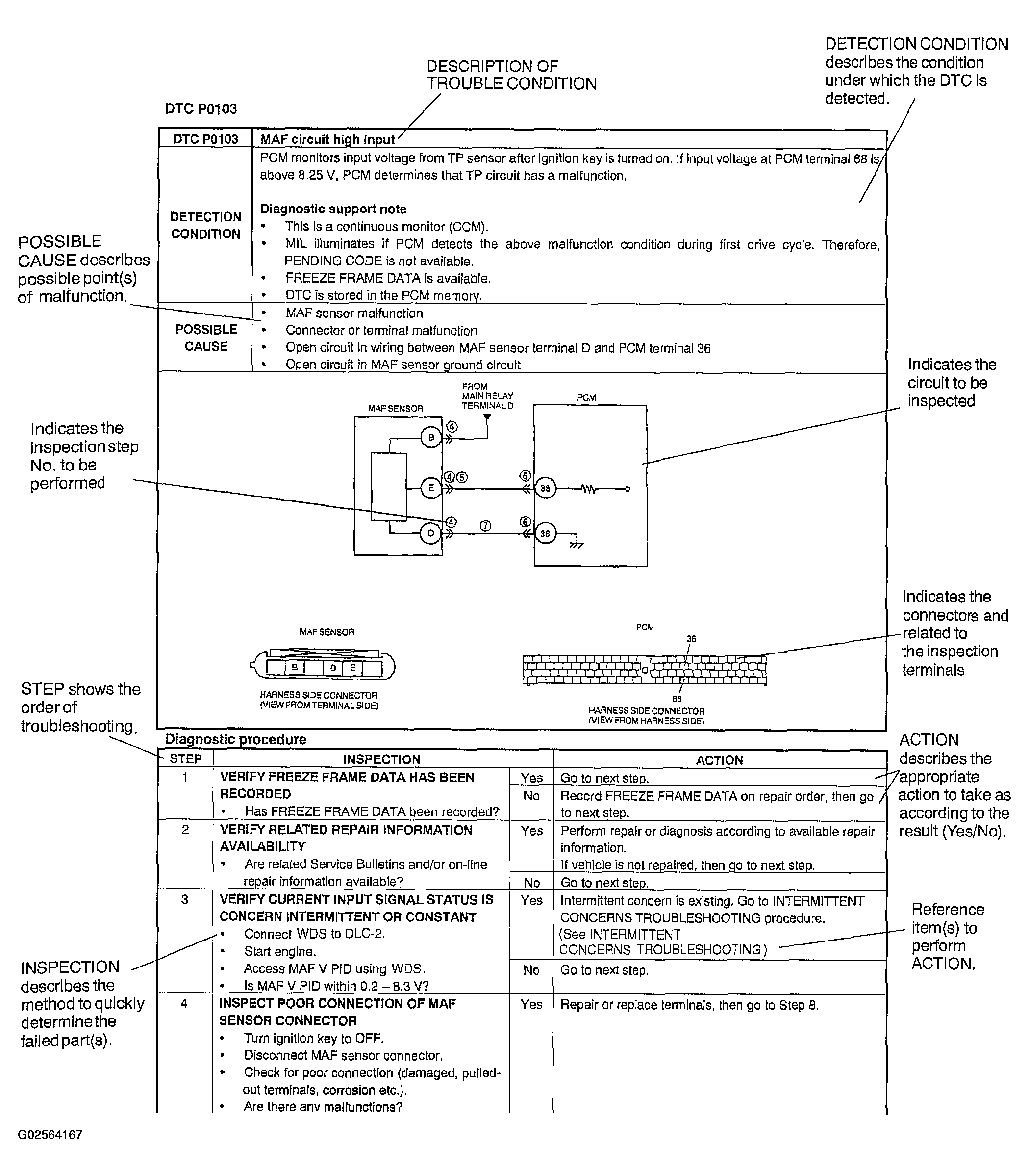
Using The DTC Troubleshooting Flow
DTC troubleshooting flow shows diagnostic procedures, inspection methods, and proper action to take for each DTC.
Fig 1: Using DTC Troubleshooting Flow
Courtesy of MAZDA MOTORS CORP.