LEMON Manuals: Even more car manuals for everyone: 1960-2025
Home >> Mazda >> 2005 >> 6 L4-2.3L >> Repair and Diagnosis >> Powertrain Management >> Computers and Control Systems >> Information Bus >> Testing and Inspection >> Flow of Diagnosis >> Flowchart
April 5, 2026: LEMON Manuals is launched! Read the announcement.

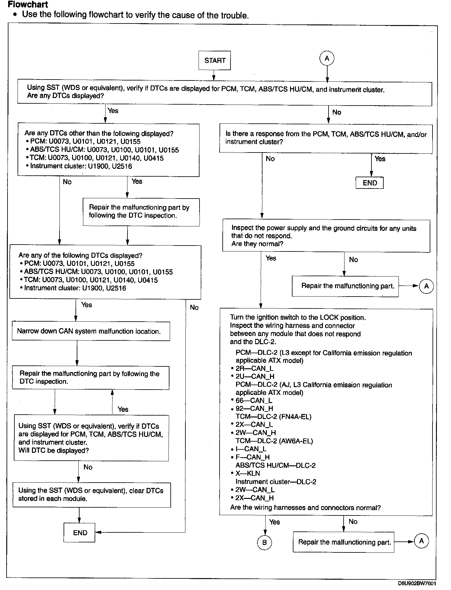
Flowchart

Flowchart Part 1:



Flowchart Part 2: