LEMON Manuals: Even more car manuals for everyone: 1960-2025
Home >> Mazda >> 2010 >> Tribute 2WD L4-2.5L >> Repair and Diagnosis >> Powertrain Management >> Computers and Control Systems >> Engine Temperature Sensor >> Testing and Inspection
April 5, 2026: LEMON Manuals is launched! Read the announcement.

Engine Temperature Sensor: Testing and Inspection




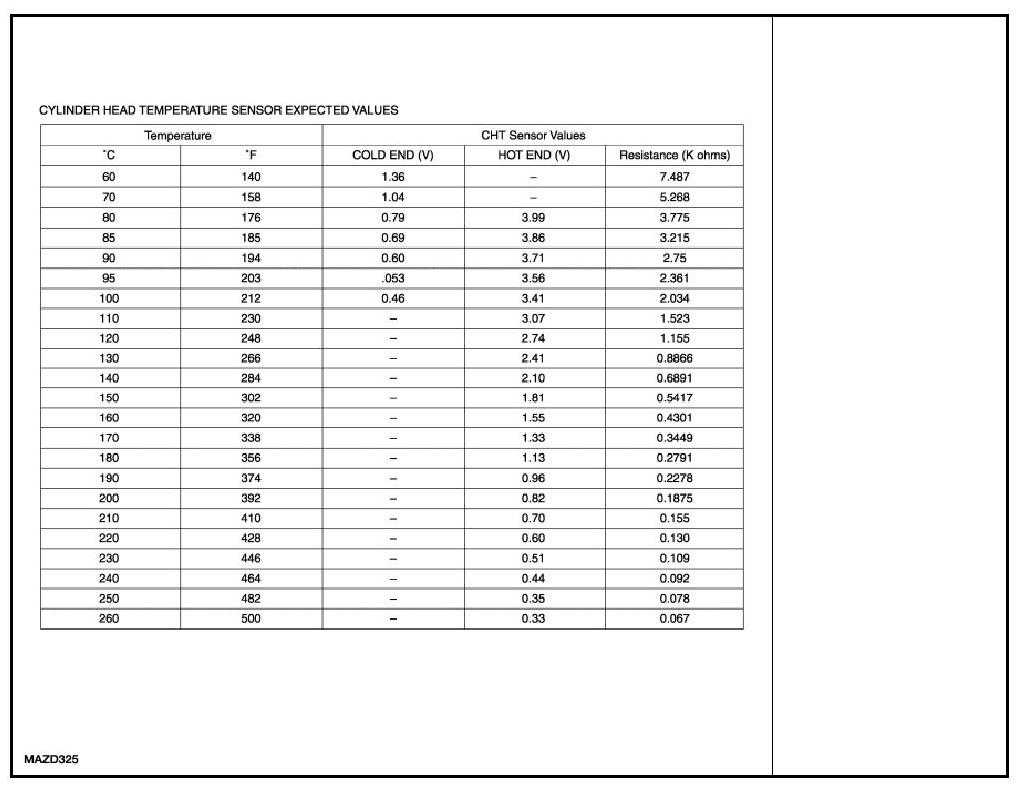
CYLINDER HEAD TEMPERATURE (CHT) SENSOR





Detection Condition:





Possible Causes:

















Step 1-Step 4:





Step 5-Step 8:





Step 9-Step 13:





Step 14-Step 17:





Step 18-Step 20:





Step 21-Step 24:





Step 25-Step 29:





Step 30-Step 31: