LEMON Manuals: Even more car manuals for everyone: 1960-2025
Home >> Mazda >> 2012 >> Mazdaspeed3 L4-2.3L Turbo >> Repair and Diagnosis >> Starting and Charging >> Starting System >> Keyless Starting System >> Testing and Inspection >> Initial Inspection and Diagnostic Overview >> Advanced Keyless Entry And Push Button Start System
April 5, 2026: LEMON Manuals is launched! Read the announcement.

Advanced Keyless Entry And Push Button Start System





FOREWORD [ADVANCED KEYLESS ENTRY AND PUSH BUTTON START SYSTEM]

- The OBD (on-board diagnostic) system has the following functions:

- Malfunction detection function: Detects malfunctions in the advanced keyless entry and push button start system and outputs DTCs.

- PID/data monitor function: Reads out specific input/output signals and the system status.

- Diagnostic DTCs can be read/cleared using the M-MDS.
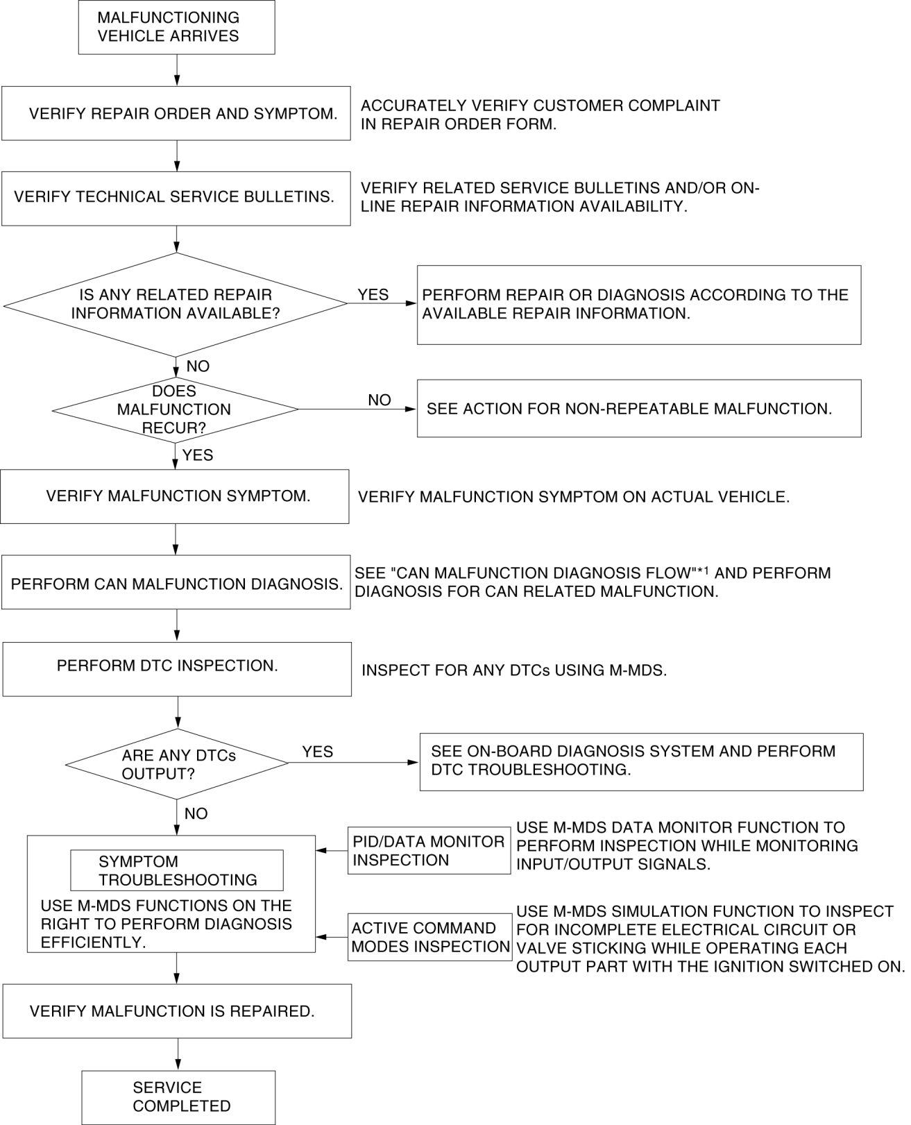
- If there is any vehicle malfunction complaint lodged by a customer, perform malfunction diagnosis according to the troubleshooting procedure.

Troubleshooting Procedure





*1
Controller Area Network (CAN) Malfunction Diagnosis Flow [Multiplex Communication System]

Action for non-repeatable malfunction

- If the malfunction does not recur, verify the malfunction cause by performing the following actions:

- Based on the repair order form, attempt to drive the vehicle or perform tests to replicate the malfunction, record the data (such as keyless control module circuit voltage) at that time, and detect the malfunction cause.
- Shake the wiring harness or connector of the electrical component which is suspected to be the cause of the malfunction, and inspect for malfunction or occurrence of any DTCs.





- Inspect the female terminals on the connector of the electric component which is suspected to be the cause of the malfunction for poor connection.