LEMON Manuals: Even more car manuals for everyone: 1960-2025
Home >> Mazda >> 2012 >> Mazdaspeed3 L4-2.3L Turbo >> Repair and Diagnosis >> Starting and Charging >> Starting System >> Keyless Starting System >> Testing and Inspection >> Initial Inspection and Diagnostic Overview >> Immobilizer System (Advanced Keyless Entry And Push Button Start System)
April 5, 2026: LEMON Manuals is launched! Read the announcement.

Immobilizer System (Advanced Keyless Entry And Push Button Start System)





FOREWORD [IMMOBILIZER SYSTEM (ADVANCED KEYLESS ENTRY AND PUSH BUTTON START SYSTEM)]

- If there is any vehicle malfunction complaint lodged by a customer, perform malfunction diagnosis according to the troubleshooting procedure.
- Due to the possibility that the engine cannot be started because transmission between the key and the vehicle is obstructed, do not allow the following items to contact the key ring.

- Any metallic object
- Spare keys or keys for other vehicles equipped with an immobilizer system

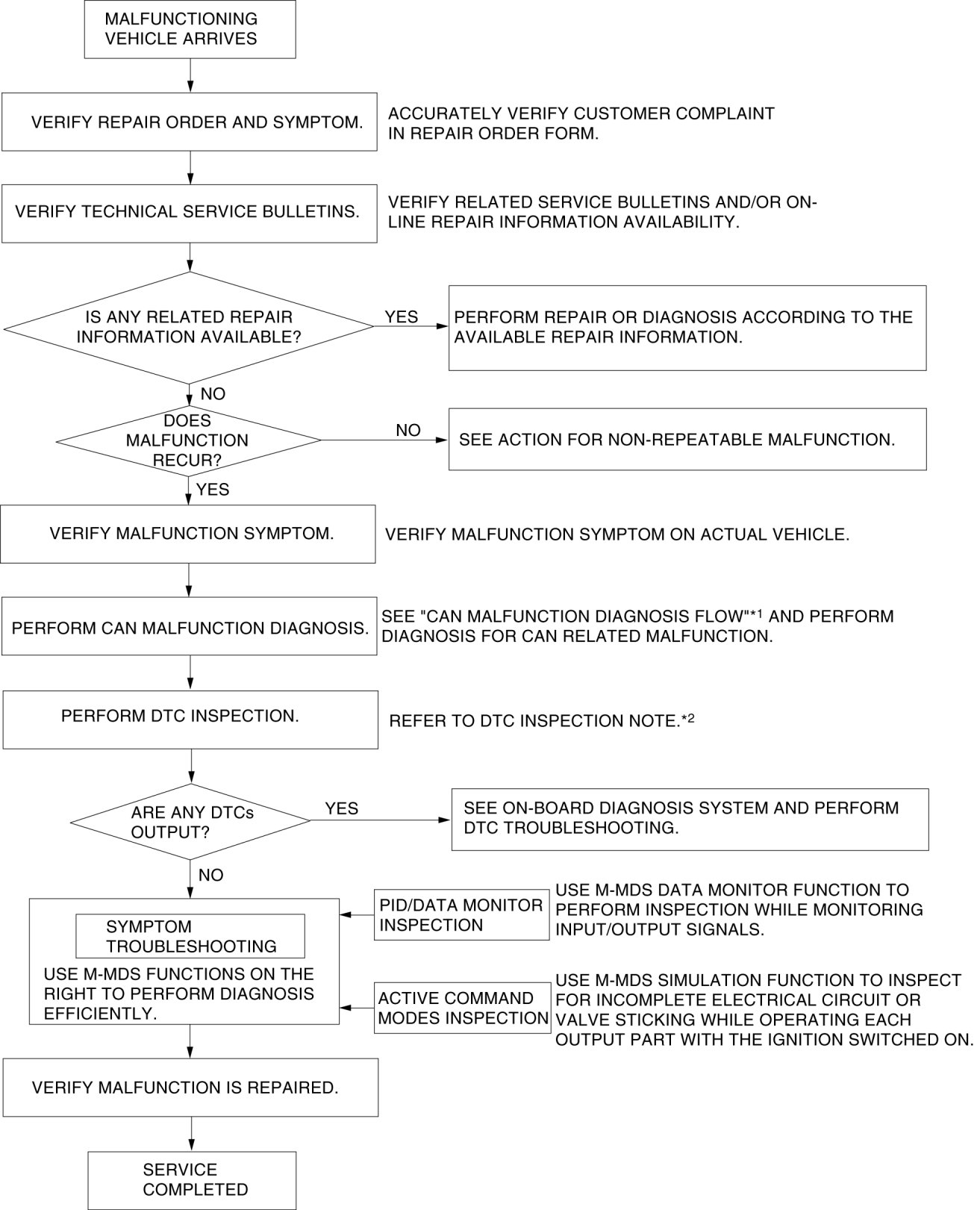
Troubleshooting Procedure





*1
Controller Area Network (CAN) Malfunction Diagnosis Flow [Multiplex Communication System]

*2
DTC Inspection Note

Action for non-repeatable malfunction

- If the malfunction does not recur, verify the malfunction cause by performing the following actions:

- Based on the repair order form, attempt to drive the vehicle or perform tests to replicate the malfunction, record the data (such as keyless control module circuit voltage) at that time, and detect the malfunction cause.
- Shake the wiring harness or connector of the electrical component which is suspected to be the cause of the malfunction, and inspect for malfunction or occurrence of any DTCs.





- Inspect the female terminals on the connector of the electric component which is suspected to be the cause of the malfunction for poor connection.






DTC Inspection Note

- When there is a malfunction in the immobilizer system, DTCs are recorded in the keyless control module and PCM. Immobilizer System (Advanced Keyless Entry And Push Button Start System)
- There are two methods of DTC verification: One is by the number of times the security light flashes and the other is by using the M-MDS.
- If immobilizer system DTCs are not recorded even if the engine cannot be started, perform symptom troubleshooting. No. 3 Will Not Crank No. 3 Will Not Crank