LEMON Manuals: Even more car manuals for everyone: 1960-2025
Home >> Mazda >> 2017 >> CX-9 Signature >> Repair and Diagnosis (Single Page) >> Accessories & Equipment >> Communication Devices >> On-Board Diagnostic - Power Liftgate Control Module >> Foreword [Power Liftgate (PLG) Control Module] >> Troubleshooting Procedure
April 5, 2026: LEMON Manuals is launched! Read the announcement.

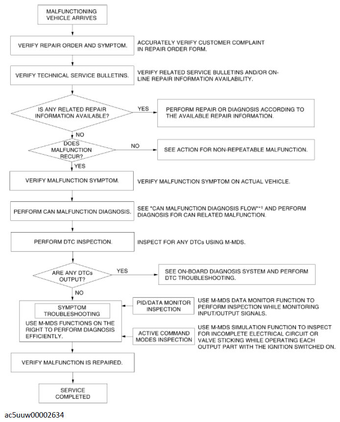
Troubleshooting Procedure

Fig 1: Foreword (Power Liftgate Control Module) Troubleshooting Flow Chart
G11432280Courtesy of MAZDA MOTORS CORP.