Troubleshooting Procedure
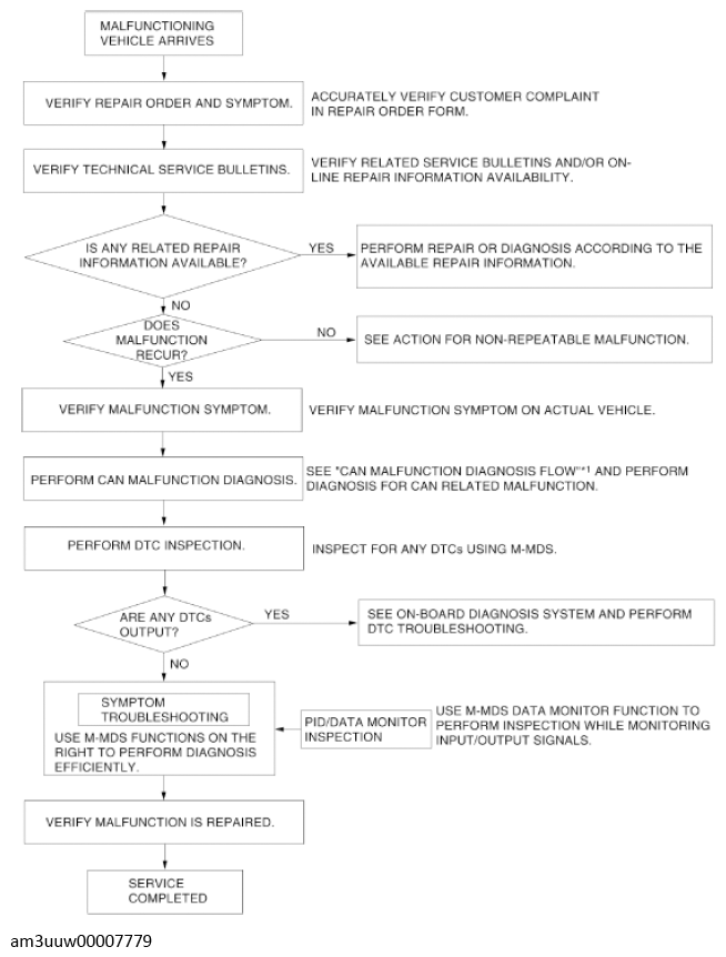
Fig 1: Foreword SAS Control Module (Standard Deployment Control System) Troubleshooting Procedure Flowchart
*1: CONTROLLER AREA NETWORK (CAN) MALFUNCTION DIAGNOSIS FLOW.
Action for Non-repeatable Malfunction
- If the malfunction does not recur, verify the malfunction cause by performing the following actions:
- Verify that a DTC has been recorded in the memory.
- Based on the repair order form, attempt to drive the vehicle or perform tests to replicate the malfunction, record the data at that time, and detect the malfunction cause.
- Shake the wiring harness or connector of the electrical component which is suspected to be the cause of the malfunction, and inspect for occurrence of any malfunction or DTCs.
- Inspect the female terminals on the connector of the electric component which is suspected to be the cause of the malfunction for poor connection. (See ELECTRICAL SYSTEM .)
NOTE:
- Tool used (Reference): terminal test kit (49US-15-KIT)