LEMON Manuals: Even more car manuals for everyone: 1960-2025
Home >> Mazda >> 2022 >> CX-9 Touring >> Repair and Diagnosis >> External Pages >> Different car >> Section 85 (On-Board Diagnostic - Position Memory Control Module) >> Foreword [Position Memory Control Module] >> Troubleshooting Procedure
April 5, 2026: LEMON Manuals is launched! Read the announcement.

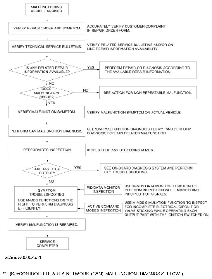
Troubleshooting Procedure

WARNING: This page is about a different car, the 2017 Mazda CX-9. However, it is still accessible from the selected car via links, so may be relevant.
Fig 1: Position Memory Control Module Troubleshooting Procedure Flow Chart
G11432251Courtesy of MAZDA MOTORS CORP.