LEMON Manuals: Even more car manuals for everyone: 1960-2025
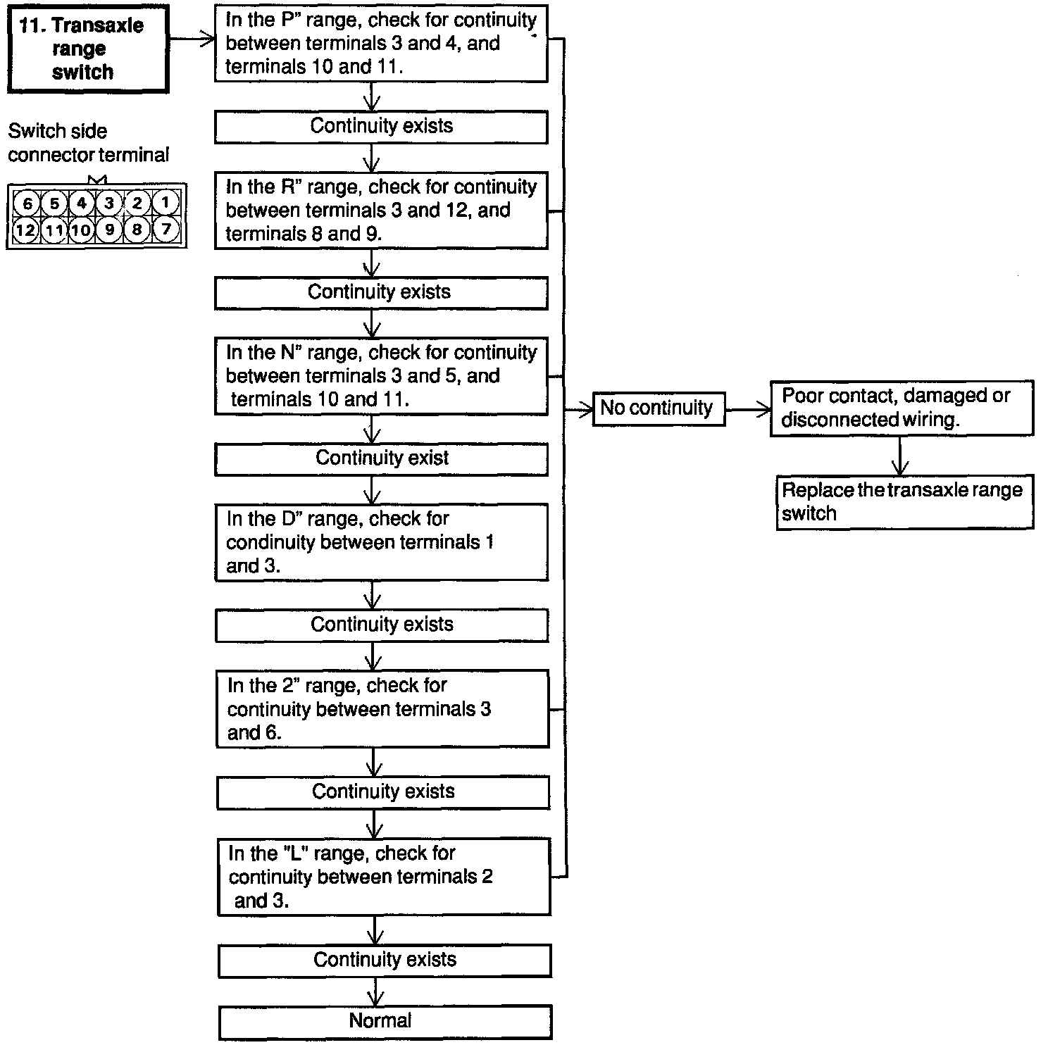
Home >> Mitsubishi >> 1994 >> Precis L4-1468cc 1.5L SOHC >> Repair and Diagnosis >> Powertrain Management >> Transmission Control Systems >> Testing and Inspection >> Component Tests and General Diagnostics >> Transaxle Range Switch
April 5, 2026: LEMON Manuals is launched! Read the announcement.

Transaxle Range Switch