LEMON Manuals: Even more car manuals for everyone: 1960-2025
Home >> Mitsubishi >> 2004 >> Lancer Evolution >> Repair and Diagnosis (Single Page) >> General Information >> OEM General Information >> General - Evolution >> How To Use This Information >> Explanation Of Information Contents
April 5, 2026: LEMON Manuals is launched! Read the announcement.

Explanation Of Information Contents

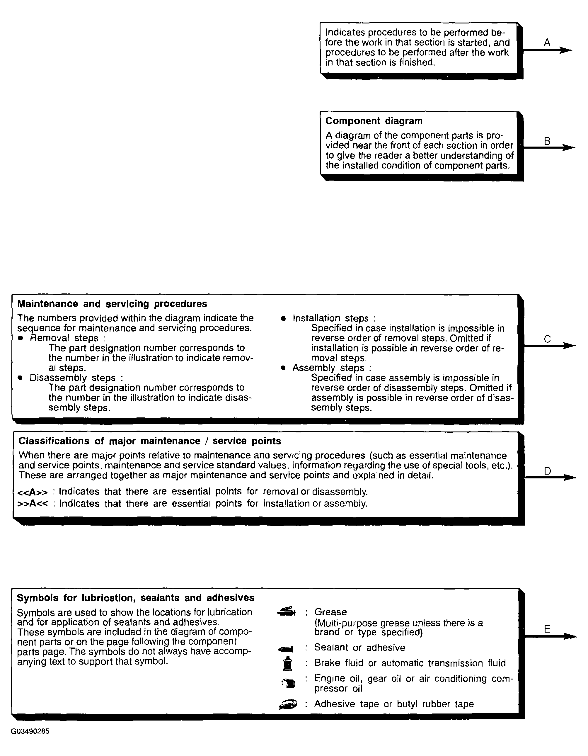
Fig 1: Explanation Of Information Contents (1 Of 2)
G03490285Courtesy of MITSUBISHI MOTOR SALES OF AMERICA.
Fig 2: Explanation Of Information Contents (2 Of 2)
G03490286Courtesy of MITSUBISHI MOTOR SALES OF AMERICA.