LEMON Manuals: Even more car manuals for everyone: 1960-2025
Home >> Mitsubishi >> 2012 >> Outlander ES >> Repair and Diagnosis >> Body & Frame >> Windows >> Window Glass >> Specifications >> General >> Window Glass Installation
April 5, 2026: LEMON Manuals is launched! Read the announcement.

Window Glass Installation

CAUTION: Do not apply primer on the adhesion surface, as adhesion may be reduced.
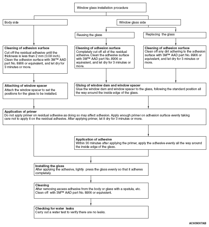
Fig 1: Window Glass Installation Procedure Flow Chart
G05384028Courtesy of MITSUBISHI MOTOR SALES OF AMERICA.