LEMON Manuals: Even more car manuals for everyone: 1960-2025
Home >> Mitsubishi >> 2020 >> Eclipse Cross ES, AWD >> Repair and Diagnosis >> Transmission >> Automatic Trans >> Continuously Variable Transaxle (CVT) (With Diagnostics) >> Diagnosis <CVT> >> Diagnostic Troubleshooting Flow
April 5, 2026: LEMON Manuals is launched! Read the announcement.

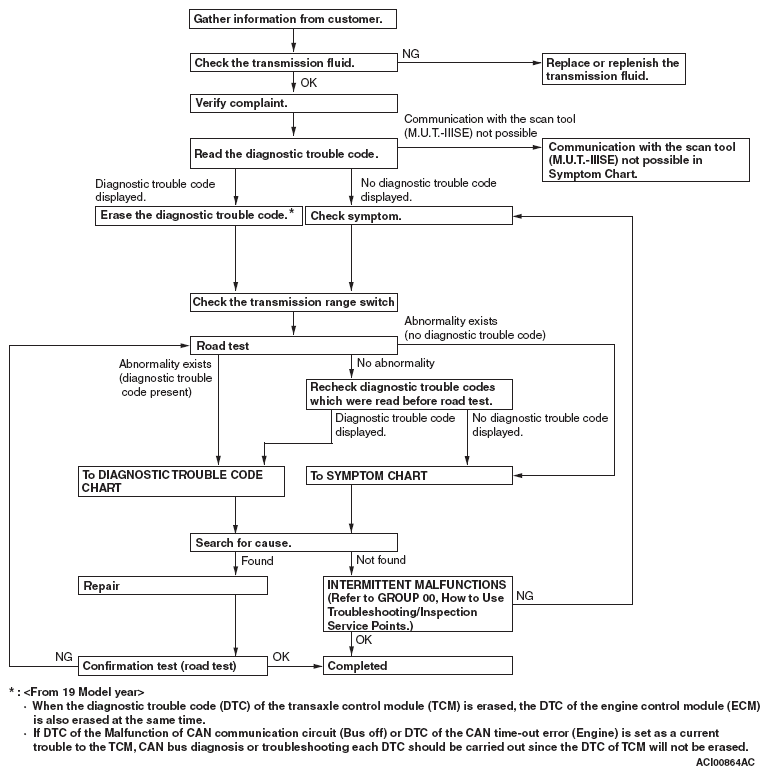
Diagnostic Troubleshooting Flow

G13323365Courtesy of MITSUBISHI MOTOR SALES OF AMERICA.