LEMON Manuals: Even more car manuals for everyone: 1960-2025
Home >> Mitsubishi >> 2023 >> Outlander PHEV ES >> Repair and Diagnosis >> Steering >> Power Steering >> Steering System >> System Description >> System >> System Description (Heated Steering Wheel) >> System Diagram
April 5, 2026: LEMON Manuals is launched! Read the announcement.

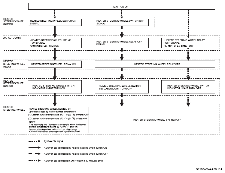
System Diagram

G16313218Courtesy of MITSUBISHI MOTOR SALES OF AMERICA.

The heated steering wheel switch controls the heated steering wheel relay. When the heated steering wheel switch is turned on, the heated steering wheel relay is energized and the heated steering wheel system will operate. The heated steering wheel system will turn off when the heated steering wheel temperature reaches approximately 37°C (99°F). Heated steering wheel system operation can also be canceled by pressing the heated steering wheel switch again. The A/C amp. Incorporates a timer and turns OFF the heated steering wheel relay when operating time reaches a certain time.

NOTE: If the surface temperature of the steering wheel is below 33°C (91°F), the system will heat the steering wheel and cycle off and on to maintain a temperature above 33°C (91°F). The indicator light will remain on as long as the system is on. Push the switch again to turn the heated steering wheel system off manually. The indicator light will go off.