LEMON Manuals: Even more car manuals for everyone: 1960-2025
Home >> Nissan-Datsun >> 1990 >> Maxima SE, Standard >> Repair and Diagnosis >> Engine Performance >> System >> Engine Controls - System/Component Tests >> Diagnostic Charts >> Injector Malfunction Chart
April 5, 2026: LEMON Manuals is launched! Read the announcement.

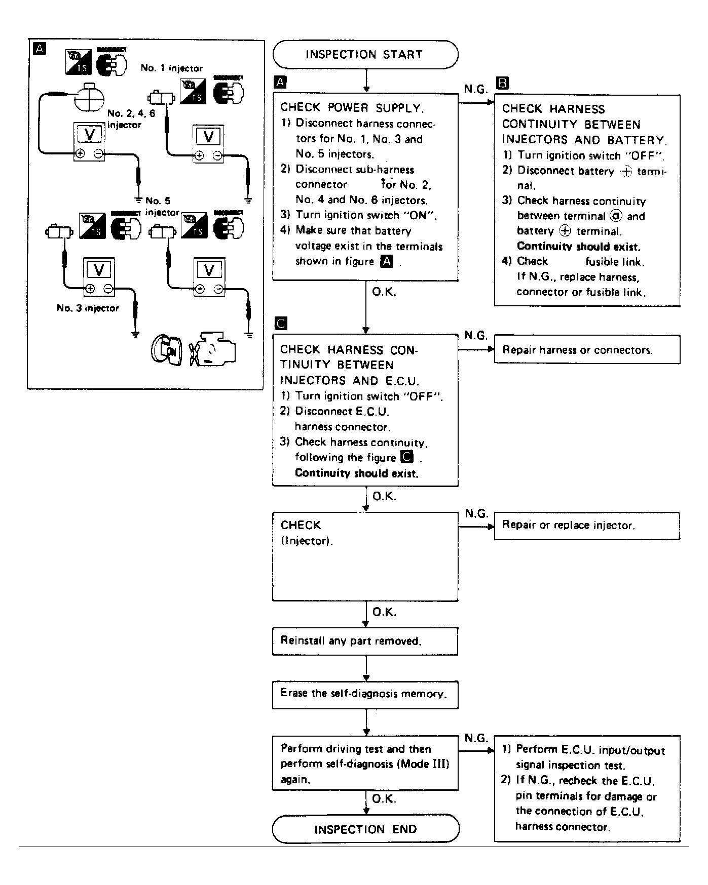
Injector Malfunction Chart

Fig 1: Injector Malfunction Diagnostic Chart (1 of 2)
G90I20659Courtesy of NISSAN MOTOR CO., U.S.A.
Fig 2: Injector Malfunction Diagnostic Chart (2 of 2)
G90B20660Courtesy of NISSAN MOTOR CO., U.S.A.