LEMON Manuals: Even more car manuals for everyone: 1960-2025
Home >> Nissan-Datsun >> 2002 >> Quest GLE >> Repair and Diagnosis >> Body & Frame >> Door Locks >> Remote Keyless Entry System >> Programming >> Id Code Entry Procedure
April 5, 2026: LEMON Manuals is launched! Read the announcement.

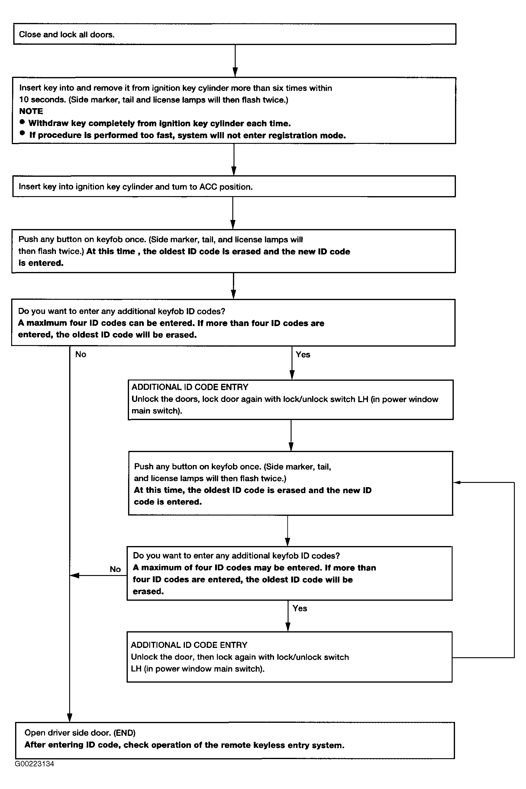
Id Code Entry Procedure

For ID entry code procedure, see Fig 1 .

Fig 1: Identifying ID Code Entry Procedure
G00223134Courtesy of NISSAN MOTOR CO., U.S.A.